საინვესტიციო/კაპიტალური პროექტების მართვის მეთოდოლოგიის დამტკიცების თაობაზე

საინვესტიციო/კაპიტალური პროექტების მართვის მეთოდოლოგიის დამტკიცების თაობაზე
დოკუმენტის ნომერი 65
დოკუმენტის მიმღები საქართველოს მთავრობა
მიღების თარიღი 16/02/2023
დოკუმენტის ტიპი საქართველოს მთავრობის დადგენილება
გამოქვეყნების წყარო, თარიღი ვებგვერდი, 17/02/2023
სარეგისტრაციო კოდი 010240020.10.003.023898
კონსოლიდირებული პუბლიკაციები
65
16/02/2023
ვებგვერდი, 17/02/2023
010240020.10.003.023898
საინვესტიციო/კაპიტალური პროექტების მართვის მეთოდოლოგიის დამტკიცების თაობაზე
საქართველოს მთავრობა
თქვენ უყურებთ დოკუმენტის პირველად სახეს
დოკუმენტის კონსოლიდირებული ვარიანტის ნახვა ფასიანია, აუცილებელია სისტემაში შესვლა და საჭიროების შემთხვევაში დათვალიერების უფლების ყიდვა, გთხოვთ გაიაროთ რეგისტრაცია ან თუ უკვე რეგისტრირებული ხართ, გთხოვთ, შეხვიდეთ სისტემაში

პირველადი სახე (17/02/2023 - 04/12/2023)

 

საქართველოს მთავრობის

დადგენილება №65

2023 წლის 16 თებერვალი

ქ. თბილისი

 

საინვესტიციო/კაპიტალური პროექტების მართვის მეთოდოლოგიის დამტკიცების თაობაზე

მუხლი 1
საქართველოს საბიუჯეტო კოდექსის მე-9 მუხლის მე-4 ნაწილისა და „საქართველოს მთავრობის სტრუქტურის, უფლებამოსილებისა და საქმიანობის წესის შესახებ“ საქართველოს კანონის მე-5 მუხლის „ჰ3“ ქვეპუნქტის შესაბამისად, დამტკიცდეს „საინვესტიციო/კაპიტალური პროექტების მართვის მეთოდოლოგია“ (შემდგომში − მეთოდოლოგია) თანდართული რედაქციით.
მუხლი 2
დაევალოს საქართველოს ფინანსთა სამინისტროს,  კოორდინაცია გაუწიოს მეთოდოლოგიის შესაბამისად საინვესტიციო/ კაპიტალური პროექტების მართვის დანერგვის პროცესს.
მუხლი 3
1. ცენტრალური ბიუჯეტის, ავტონომიური რესპუბლიკების ერთიანი რესპუბლიკური და ერთიანი მუნიციპალური ბიუჯეტების მხარჯავმა დაწესებულებებმა საინვესტიციო/კაპიტალური პროექტების მომზადებისას უზრუნველყონ ამ დადგენილებით დამტკიცებული მეთოდოლოგიით გათვალისწინებული მოთხოვნების დაცვა.

2. ამ დადგენილებით დამტკიცებული მეთოდოლოგიის მოთხოვნები არ ვრცელდება იმ საინვესტიციო/კაპიტალურ პროექტებზე, რომელთა განხორციელების თაობაზე წინასწარი გადაწყვეტილება მიღებულია და დაწყებულია შესყიდვების პროცედურები ამ დადგენილების ამოქმედებამდე.

3. ეთხოვოთ ავტონომიური რესპუბლიკებისა და მუნიციპალიტეტების საფინანსო ორგანოებს, კოორდინაცია გაუწიონ აღნიშნული მეთოდოლოგიის დანერგვის პროცესს.   

მუხლი 4
საქართველოს ფინანსთა სამინისტრო, ეკონომიკურ საბჭოსთან შეთანხმებით, ამტკიცებს:

ა) საინვესტიციო/კაპიტალური პროექტების ფინანსური და ეკონომიკური გაანგარიშებისთვის გამოსაყენებელი ძირითადი ერთეულების სახეებს, მათ ღირებულებებსა და გაანგარიშების მეთოდოლოგიას;

ბ) საინვესტიციო/კაპიტალური პროექტების საბოლოო შერჩევის კრიტერიუმებსა და ამ პროექტების შეფასების ქულათა სისტემის განსაზღვრის წესს.

მუხლი 5
„ნორმატიული აქტების შესახებ“ საქართველოს ორგანული კანონის 25-ე მუხლის შესაბამისად, ძალადაკარგულად გამოცხადდეს „საინვესტიციო პროექტების მართვის გზამკვლევის დამტკიცების თაობაზე“ საქართველოს მთავრობის 2016 წლის 22 აპრილის №191 დადგენილება.
მუხლი 6
დადგენილება ამოქმედდეს გამოქვეყნებისთანავე და გავრცელდეს 2023 წლის 1 იანვრიდან წარმოშობილ ურთიერთობებზე.

პრემიერ-მინისტრიირაკლი ღარიბაშვილი



დანართი
საინვესტიციო/კაპიტალური პროექტების მართვის მეთოდოლოგია

შინაარსი

თავი I. საინვესტიციო/კაპიტალური პროექტების მართვის ძირითადი არსი

მუხლი 1. ზოგადი დებულებები

მუხლი 2. საინვესტიციო პროექტების მართვის ძირითადი ეტაპები

მუხლი 3. ტერმინთა განმარტება

თავი II. პროექტის წინასწარი შეფასება

მუხლი 4. პროექტის წინასწარი შეფასების არსი, მიზანი და ახალი პროექტის გამოვლენის მექანიზმები

მუხლი 5. პროექტის კონცეფციის ბარათი

მუხლი 6. მეთოდოლოგიური მიდგომები პროექტების წინასწარი შეფასების ეტაპზე

მუხლი 7. ფინანსური და ეკონომიკური ანალიზი პროექტის წინასწარი შეფასების ეტაპზე

მუხლი 8. პროექტის შეფასების დამატებითი ეტაპი საჯარო და კერძო თანამშრომლობის შემთხვევაში.

მუხლი 9. პროექტის წინასწარი შეფასების პროცესში გადანაწილებული როლები, პასუხისმგებლობები და გადაწყვეტილების მიღება

თავი III. პროექტის საბოლოო შერჩევა

მუხლი 10. პროექტის საბოლოო  შერჩევის პროცესში მეთოდოლოგიური მიდგომები, გადანაწილებული როლები, პასუხისმგებლობები და გადაწყვეტილების მიღება

თავი IV. პროექტის ასახვა ბიუჯეტში

მუხლი 11. პროექტის ბიუჯეტსა და საშუალოვადიან გეგმებში ასახვის არსი და მიზანი

მუხლი 12. პროექტის ბიუჯეტსა და საშუალოვადიან გეგმებში ასახვის პროცესში გადანაწილებული როლები, პასუხისმგებლობები და გადაწყვეტილების მიღება

თავი V. პროექტის განხორციელება და მონიტორინგი

მუხლი 13. პროექტის განხორციელების ძირითადი დებულებები

მუხლი 14. პროექტის მონიტორინგი და ამ პროცესში გადანაწილებული როლები და პასუხისმგებლობები

თავი VI. პროექტის შედეგების შეფასება

მუხლი 15. შედეგების შეფასების არსი და ძირითადი დებულებები

მუხლი 16. პროექტის შედეგების შეფასების საფეხურები

მუხლი 17. პროექტის შედეგების შეფასება, როლები და პასუხისმგებლობების განაწილება.

თავი I

საინვესტიციო/კაპიტალური პროექტების მართვის ძირითადი არსი

მუხლი 1. ზოგადი დებულებები

1. „საინვესტიციო/კაპიტალური პროექტების მართვის მეთოდოლოგიის (შემდგომში „მეთოდოლოგია“) შემუშავების მიზანია საინვესტიციო/კაპიტალური პროექტების მართვის ერთიანი ციკლის დანერგვა, რათა დაეხმაროს საბიუჯეტო ორგანიზაციებს  საინვესტიციო/კაპიტალური ინვესტიციების თანმიმდევრულ და ყოველმხრივ შეფასებაში და კონკურენტი პროექტების პრიორიტეტულობის დადგენაში, რომელიც უზრუნველყოფს, სტრატეგიული დაგეგმვისა და ბიუჯეტის მომზადების პროცესში, როგორც მთელი ქვეყნის მასშტაბით, ისე დარგობრივი მიმართულებებით, საინვესტიციო/კაპიტალური პროექტების მართვის გამჭვირვალობას, ანგარიშვალდებულების გაძლიერებას და სახელმწიფო რესურსების ეფექტიან გამოყენებას.

2. პროექტების წინასწარი შეფასების, საბოლოო შერჩევის, ბიუჯეტში  საინვესტიციო/კაპიტალური პროექტების მართვის პროცესის თანამიმდევრულად ასახვის და სტანდარტიზაციის მიზნით, მეთოდოლოგია განსაზღვრავს კონკრეტულ კრიტერიუმებს.

3. მეთოდოლოგიაში მოცემულია საინვესტიციო/კაპიტალური პროექტების შემუშავების წესები და პროცედურები, განსაზღვრულია მონაწილე მხარეების როლები და პასუხისმგებლობები საინვესტიციო/კაპიტალური პროექტების მართვის პროცესის ყველა ეტაპისთვის.

მუხლი 2. საინვესტიციო პროექტების მართვის ძირითადი ეტაპები

1. საუკეთესო საერთაშორისო პრაქტიკის მიხედვით  საინვესტიციო/კაპიტალური პროექტების მართვის პროცესი ექვსი მთავარი ეტაპისგან  შედგება: პროექტის წინასწარი შეფასება, პროექტის საბოლოო შერჩევა, პროექტის ასახვა ბიუჯეტში, პროექტის განხორციელება, პროექტის მონიტორინგი და პროექტის შედეგების  შეფასება.

2. მეთოდოლოგიის მიზნებისათვის საინვესტიციო/კაპიტალური პროექტი წარმოადგენს ფინანსურად მნიშვნელოვან პროექტს, რომელიც ფინანსდება (მეთოდოლოგიით ზოგიერთ შემთხვევაში ხორციელდება თანადაფინანსება) ცენტრალური, ავტონომიური რესპუბლიკების ერთიანი რესპუბლიკური და ერთიანი მუნიციპალური  ბიუჯეტით (შემდგომში – შესაბამისი ბიუჯეტით) გათვალისწინებული თანხებით.

3. საინვესტიციო/კაპიტალური პროექტების ღირებულების მიხედვით, მეთოდოლოგიით განსაზღვრულია   სამი კატეგორიის პროექტი:

კატეგორია

პროექტის ღირებულება

(მლნ ლარი)

1

მცირე

<5

2

საშუალო

≥5 – <20

3

მსხვილი

≥20

 

4. ამ მუხლის მე-3 პუნქტით გათვალისწინებული საინვესტიციო/კაპიტალური პროექტების კატეგორიის მიხედვით, მეთოდოლოგია არეგულირებს საინვესტიციო/კაპიტალური პროექტების მართვის სასიცოცხლო ციკლის შესაბამის ეტაპზე, აგრეთვე განსაზღვრავს დამატებით წარმოსადგენ ინფორმაციას პროექტის ღირებულების მიუხედავად.

5. იმ პროექტებთან მიმართებაში, რომლებიც ცენტრალური, ავტონომიური რესპუბლიკის რესპუბლიკური ან ერთიანი მუნიციპალური ბიუჯეტიდან ხორციელდება კერძო სექტორთან თანამშრომლობით, მეთოდოლოგია ვრცელდება „საჯარო და კერძო თანამშრომლობის შესახებ“ საქართველოს კანონით და „საჯარო და კერძო თანამშრომლობის პროექტების შემუშავებისა და განხორციელების წესის დამტკიცების შესახებ“ საქართველოს მთავრობის 2018 წლის 17 აგვისტოს №426 დადგენილებით განსაზღვრული რეგულაციების გათვალისწინებით.

6. ამ მუხლის მე-5 პუნქტი ვრცელდება პროექტებზე, რომლის ინიცირებაც ხორციელდება ამ მეთოდოლოგიით დადგენილი წესით, თუმცა განხილვის პროცესში მიზანშეწონილად იქნა მიჩნეული პროექტის განხორციელება საჯარო და კერძო თანამშრომლობის გზით.

7. საჯარო და კერძო თანამშრომლობის ტიპის პროექტის შეფასებისას გამოიყენება ხარისხის ფასთან თანაფარდობის მეთოდოლოგია, რომელიც განისაზღვრება საქართველოს კანონმდებლობით დადგენილი წესით.

8. მეთოდოლოგიით გათვალისწინებული რეგულაციები არ ვრცელდება პროექტებზე, რომლებიც დაკავშირებულია სტიქიური მოვლენების შედეგების ლიკვიდაციასთან, ასევე „სახელმწიფო საიდუმლოების შესახებ“ საქართველოს კანონით განსაზღვრულ სახელმწიფო საიდუმლოების შემცველ პროექტებზე.

მუხლი 3. ტერმინთა განმარტება

მეთოდოლოგიაში გამოყენებულ ტერმინებს აქვთ შემდეგი მნიშვნელობა:

) საინვესტიციო/კაპიტალური პროექტი წარმოადგენს მკაფიოდ განსაზღვრული მიზნებისა და შედეგების მქონე აქტივობების ერთობლიობას, რომელიც ფიქსირებული გრაფიკის მიხედვით ხორციელდება, და ქმნის აქტივს, რომელიც უზრუნველყოფს ბენეფიციართა კონკრეტული ჯგუფისათვის სარგებელს ან/და მიღებული სარგებელის გამოყენების შესაძლებლობას.

საინვესტიციო/კაპიტალური პროექტი გულისხმობს ახალი ინფრასტრუქტურის შექმნას ან არსებულის მნიშვნელოვან და არსებით გაუმჯობესებას. პროექტი მნიშვნელოვნად უნდა ზრდიდეს არსებული აქტივის შესაძლებლობებს ან წარმადობას, ან სიცოცხლის ხანგრძლივობას და აქტივის ფასს. არსებული აქტივების მოვლა-შენახვა, შეკეთება და თუნდაც კაპიტალური რეაბილიტაცია არ წარმოადგენს  საინვესტიციო/კაპიტალურ პროექტს, თუ არსებითად არ იცვლება აქტივის როლი ეკონომიკურ საქმიანობაში.

მცირე საინვესტიციო/კაპიტალური პროექტი წარმოადგენს 5 მლნ ლარამდე ღირებულების საინვესტიციო/კაპიტალურ პროექტს.

საშუალო საინვესტიციო/კაპიტალური პროექტი წარმოადგენს 5 მლნ ლარიდან 20 მლნ ლარამდე ღირებულების პროექტს.

მსხვილი საინვესტიციო/კაპიტალური პროექტი წარმოადგენს 20 მლნ ლარის და  მეტი ღირებულების პროექტს.

შესაბამის ბიუჯეტში გათვალისწინებული საინვესტიციო/კაპიტალური პროექტების შესახებ ინფორმაცია ასახულია, შესაბამის ბიუჯეტზე თანდართულ  „საინვესტიციო/კაპიტალური პროექტების შესახებ“ დანართში;

ბ) კაპიტალური ხარჯები წარმოადგენს  ხარჯებს, რომელიც მიიმართება  აქტივის შესაქმნელად. იგულისხმება, როგორც მატერიალური აქტივები (შენობები, ნაგებობები, მანქანა-დანადგარები, მოწყობილობები), ისე არამატერიალური აქტივები (საინფორმაციო, საკომუნიკაციო, IT სისტემები). კაპიტალური ხარჯები მოიცავს არსებული აქტივის მნიშვნელოვან გაუმჯობესებას (განახლება, რეკონსტრუქცია, გაფართოება). შესაბამისად, საბიუჯეტო კლასიფიკაციის მიხედვით[1], კაპიტალური მიმართულების ხარჯები აღირიცხება „არაფინანსური აქტივების ზრდის“, „სხვა ხარჯების“ „კაპიტალური ტრანსფერები, რომელიც სხვაგან არ არის კლასიფიცირებული“  და „ფინანსური აქტივების ზრდის“ მუხლებში. ზემოაღნიშნული არ მოიცავს მხოლოდ საინვესტიციო/კაპიტალურ პროექტებს და ამ პროექტების ჯამური მოცულობა კაპიტალური ხარჯების მხოლოდ გარკვეულ ნაწილს შეადგენს. ამ მეთოოლოგიის მიზნებისათვის მნიშვნელოვანია კაპიტალური ხარჯების გამიჯვნა შენახვისა და მიმდინარე შეკეთების ხარჯებისგან, ვინაიდან საინვესტიციო პროექტისათვის  საჭიროა წინასწარ განზრახული საინვესტიციო გადაწყვეტილება, რომელიც არ უკავშირდება აქტივის ფიზიკურ მდგომარეობას;

გ) პროექტის მთლიანი ღირებულება –  პროექტის მთლიანი ღირებულების განსაზღვრისას გათვალისწინებული უნდა იყოს საინვესტიციო/კაპიტალური პროექტის განხორციელებისათვის საჭირო ყველა ხარჯი, როგორც აქტივის შექმნის, ასევე მისი ფუნქციონირებისათვის საჭირო აღჭურვის ხარჯები  დაფინანსების წყაროს (სახელმწიფო ბიუჯეტი, დონორის დაფინანსება, სესხები და/ან ბენეფიციარის თანადაფინანსება) მიუხედავად. საჯარო და კერძო თანამშრომლობის პროექტების შემთხვევაში, საჯარო და კერძო თანამშრომლობის პროექტის შემუშავებისა და განხორციელების წესით განსაზღვრული პროექტის ღირებულებას, ასევე შეიძლება დაემატოს სახელმწიფოს მიერ აღებული ყველა ვალდებულების (მათ შორის, პირობით ვალდებულებები) ღირებულება;

დ) საბოლოო ბენეფიციარი – საინვესტიციო/კაპიტალური პროექტის განხორციელების შედეგად მიღებული ან გაუმჯობესებული პროდუქტის ან/და მომსახურების საბოლოო მომხმარებელი;

ე) პროექტების წინასწარი შეფასება – პროექტის სტრატეგიული ამოცანის, ლოგიკური დასაბუთების, ბიუჯეტზე ზემოქმედების და ეკონომიკური მიზანშეწონილობის  წინასწარი შეფასების პროცესი. საინვესტიციო/კაპიტალური პროექტების მართვის პროცესის პირველი ეტაპი, რაც  გულისხმობს პროექტის კონცეფციის ბარათის, ხარჯთ-სარგებლიანობის  ანალიზის და სამუშაო ჯგუფის მოთხოვნის შესაბამისად ტექნიკურ-ეკონომიკური კვლევის შემუშავებას, რომლის საფუძველზეც გადაწყვეტილება უნდა იქნეს მიღებული;

ვ) პროექტის საბოლოო შერჩევა – პროექტის კონცეფციის ბარათის, ხარჯთ-სარგებლიანობის ან/და   ტექნიკურ-ეკონომიკური კვლევის შედეგების გათვალისწინებით სამუშაო ჯგუფის მიერ მომზადებული დასკვნის საფუძველზე ეკონომიკური საბჭოს მიერ საინვესტიციო/კაპიტალური პროექტის განხორციელების ან არგანხორციელების შესახებ გადაწყვეტილების მიღება;

ზ) პროექტის კონცეფციის ბარათი – პროექტის შესახებ ზოგადი ინფორმაცია, რომელიც მოიცავს პროექტის აღწერას, მიზნების და ამოცანების განსაზღვრას, პრობლემის იდენტიფიცირებას და გადაჭრის გზებს, ბიუჯეტზე გავლენის შეფასებას, რისკების შეფასებას, მათ შორის, სოციალური და გარემოზე ზემოქმედების შეფასებას,   რომელიც მზადდება წინასწარი შეფასების ეტაპზე;

თ) ტექნიკურ-ეკონომიკური კვლევა – ანალიტიკური კვლევა, რომელიც ხორციელდება შეფასების ეტაპზე სამუშაო ჯგუფის მოთხოვნის შესაბამისად და მოიცავს შემოთავაზებული პროექტის ტექნიკურ და ეკონომიკურ შეფასებას, ასევე შეიძლება მოიცავდეს ეკოლოგიურ და სოციალურ შეფასებებს და ხორციელდება  საინვესტიციო/კაპიტალური პროექტის საერთო მიზანშეწონილობისა და მდგრადობის შესახებ დასკვნების გასაკეთებლად;

ი) ხარჯთ-სარგებლიანობის ანალიზი (CBA – Cost-Benefit Analysis) – ფულად გამოსახულებაში პროექტის მოსალოდნელი ხარჯებისა და მოსალოდნელი სარგებლის რაოდენობრივი შეფასება  ალტერნატიული ღირებულების შეფასების საფუძველზე;

კ) ხარჯთ-ეფექტიანობის ანალიზი (CEA – Cost-Effectiveness Analysis) – პროექტის საპროგნოზო შედეგების განსაზღვრა და ამ შედეგების მისაღწევად პროექტის განხორციელების იმგვარი სტრატეგიის შერჩევა, რომელსაც მინიმუმამდე დაჰყავს მთლიანი დისკონტირებული კაპიტალური და მიმდინარე ხარჯები. ეს მეთოდი გამოიყენება მაშინ, როდესაც სარგებლის ფულადი ღირებულების შეფასება რთულია ან დაკავშირებულია დამატებით ხარჯებთან, ან იმისთვის, რომ არჩევანი გაკეთდეს ერთსა და იმავე ან მსგავსი შედეგების მომტან ალტერნატივებს  შორის. მოცემული ანალიზი ხშირად გამოიყენება იმ პროექტების შეფასებისათვის, სადაც შედეგების  მონეტარული ღირებულების შეფასება რთული ან შეუძლებელია;

ლ) წმინდა მიმდინარე ღირებულება (NPV – Net Present Value) – პროექტის სასიცოცხლო ციკლის მანძილზე მოსალოდნელი  მომავალი ფულადი ნაკადების (დადებითი და უარყოფითი) ჯამის დისკონტირებული ღირებულება;

მ) შიდა უკუგების დონე (IRR – Internal Rate of Return) – დისკონტირების ისეთი განაკვეთი, რომლის დროსაც პროექტის წმინდა მიმდინარე ღირებულება ნულის ტოლია.

ნ) ENPV (ეკონომიკური წმინდა მიმდინარე ღირებულება) – პროექტის სასიცოცხლო ციკლის მანძილზე მოსალოდნელი  მომავალი ფულადი ნაკადების, მათ შორის ეკონომიკური სარგებლისა და ხარჯების ჯამის დისკონტირებული ღირებულება;

ო) EIRR (ეკონომიკური შიდა უკუგების დონე) – დისკონტირების ისეთი განაკვეთი, რომლის დროსაც პროექტის ეკონომიკური წმინდა მიმდინარე ღირებულება ნულის ტოლია;

პ) ხარჯთ-სარგებლიანობის კოეფიციენტი (Benefit cost ratio) – პროექტის სიცოცხლის ხანგრძლივობის მთელი პერიოდის მანძილზე მთლიანი დისკონტირებული სარგებლის თანაფარდობა მთლიან დისკონტირებულ ხარჯებთან;

ჟ) გარემოზე ზემოქმედების შეფასება (შემდგომში – გზშ) – შეესაბამება საქართველოს კანონმდებლობით განსაზღვრულ განმარტებას და მზადდება საქართველოს კანონმდებლობით დადგენილი წესით;

რ) სოციალური ზემოქმედების შეფასება – პროექტის პოტენციური უარყოფითი და დადებითი სოციალური შედეგების შეფასება, როგორებიცაა: შემოსავლის გადანაწილება, სიღარიბე, უმუშევრობა, გენდერული თანასწორობა და სხვა. სოციალური ზემოქმედების შეფასების დროს კეთდება არა მთელი საზოგადოების ზარალისა და სარგებლის სიდიდის ანალიზი, არამედ ანალიზი იმისა, თუ ვინ ზარალდება და ვინ იღებს სარგებელს პროექტის შედეგად (ამ უკანასკნელთა შეფასება ხდება ხარჯთ-სარგებლიანობის ანალიზის დროს);

ს) ალტერნატიული ღირებულება – რესურსის ღირებულება საუკეთესო ალტერნატიული ვარიანტის გამოყენების შემთხვევაში. ეკონომიკური ანალიზის დროს პროექტის შეძენილი რესურსის ალტერნატიული ღირებულება არის მისი ზღვრული სოციალური ღირებულება საუკეთესო ალტერნატიული გამოყენების (რომელიც პროექტს არ უკავშირდება) ან ამჟამინდელი გამოყენების შემთხვევაში (იზომება გადახდისადმი მზადყოფნის საფუძველზე), თუ ეს საბოლოო პროდუქტი ან მომსახურებაა (მათ შორის, სახელმწიფო დეპოზიტებზე დარიცხული სარგებელი);

ტ) გარე ფაქტორები (Externalities) – ხარჯი ან სარგებელი, რომელიც პირდაპირ არ აკუმულირდება პროექტის განმახორციელებელი სუბიექტის ანგარიშებზე (ანუ ის არ შეიძლება აისახოს ფინანსურ ანგარიშებში, რადგანაც საბაზრო ფასი არ აქვს) ან/და რომელიც ფინანსური ნაკადების თვალსაზრისით პროექტს პირდაპირ ვერ დაუკავშირდება. იგი შეიძლება იყოს პოზიტიური ან ნეგატიური;

უ) ეფექტიანობა – პროექტის გამოყენებული რესურსის შეფასება  მიღებულ შედეგთან/პროდუქტთან მიმართებაში;

ფ) ეფექტურობა – პროექტის შეფასება იმის მიხედვით, თუ რამდენად წარმატებულია პროექტის განხორციელების შედეგად მიღებული შედეგები/პროდუქტები. პროექტის ეფექტურობის დამადასტურებელი საკმარისი მტკიცებულებების მიღებას შეიძლება გარკვეული დრო დასჭირდეს;

ქ) დისკონტირება –  პროცესი, რომლის დროსაც მომავალში მისაღები სარგებელი და გასაწევი ხარჯების ნომინალური ინდიკატორები გამოსახულია მიმდინარე ღირებულებაში, „დისკონტირების განაკვეთი“ არის უარყოფითი საპროცენტო განაკვეთის ანალოგიური წლიური განაკვეთი, რომლითაც მომავალ ხარჯებსა და სარგებელს ამცირებენ შესადარებელი მიმდინარე ღირებულებების დასადგენად. აღნიშნული განაკვეთი ერთი საბიუჯეტო წლის განმავლობაში განსახორციელებელი პროექტებისთვის ერთი და იგივეა;

ღ) ეკონომიკური საბჭო – ქვეყნის ეკონომიკური პოლიტიკისა და ეკონომიკური სტრატეგიის შემუშავებისა და დაგეგმვის კოორდინაციის მიზნით, საქართველოს მთავრობის დადგენილებით შექმნილი ეკონომიკური საბჭო;

ყ) სამუშაო ჯგუფი – საქართველოს ფინანსთა მინისტრის მიერ შექმნილი სამუშაო ჯგუფი, რომელიც ახორციელებს საინვესტიციო/კაპიტალურ პროექტთან მიმართებაში,  საქართველოს ფინანსთა სამინისტროსათვის განსაზღვრული კომპეტენციის ფარგლებში ამ მეთოდოლოგიით განსაზღვრულ ანალიზს პროექტის სასიცოცხლო ციკლის სხვადასხვა ეტაპზე, აწარმოებს საინვესტიციო პროექტების ერთიან რეესტრს და ახორციელებს  მეთოდოლოგიით განსაზღვრული პროცედურების შესრულების მონიტორინგს. სამუშაო ჯგუფის დებულება მტკიცდება საქართველოს ფინანსთა მინისტრის ბრძანებით;

შ) საჯარო და კერძო თანამშრომლობის პროექტი (PPP) – პროექტი, რომელიც შეესაბამება „საჯარო და კერძო თანამშრომლობის შესახებ“ საქართველოს კანონით განსაზღვრულ პრინციპებს პროექტის განხორციელების შესაბამისი ეტაპისათვის;

ჩ) ხარისხის ფასთან თანაფარდობა (VFM) – „საჯარო და კერძო თანამშრომლობის შესახებ“ საქართველოს კანონით განსაზღვრული შეფასება;

ც)  ხარისხის ფასთან თანაფარდობის მეთოდოლოგია – „საჯარო და კერძო თანამშრომლობის პროექტის შემუშავებისა და განხორციელების წესის დამტკიცების შესახებ“ საქართველოს მთავრობის 2018 წლის 17 აგვისტოს №426 დადგენილებით განსაზღვრული მეთოდოლოგია;

ძ) კლიმატის  რისკების იდენტიფიცირება/სკრინინგი -  კლიმატის ცვლილებით გამოწვეული საფრთხეების ზემოქმედების განსაზღვრა პროექტზე;

წ) ნარჩენი ღირებულება - სხვაობა ძირითად საშუალებასა და აკუმულირებულ ცვეთას შორის. იგი გამოხატავს პროექტის ბოლო წლისათვის, აქტივის სასიცოცხლო ციკლის ამოწურვამდე დარჩენილ ღირებულებას;

ჭ) საოპერაციო ხარჯები (OPEX) – პროექტის განხორციელების შედეგად შექმნილი, ახალი ან განახლებული სერვისის/ინფრასტრუქტურის ექსპლუატაციასთან და მოვლა-შენახვასთან დაკავშირებული ყველა ხარჯი;

ხ) საოპერაციო შემოსავლები – მიწოდებული საქონლის ან მომსახურების რეალიზაციით მიღებული ფულადი სახსრები, მაგალითად, საფასური ინფრასტრუქტურით სარგებლობისთვის (მაგალითად, ავტომაგისტრალის სარგებლობის საფასური), მიწის ან შენობა-ნაგებობის გაყიდვა ან გაქირავება. საოპერაციო შემოსავლები არ მოიცავს ტრანსფერებს ან სუბსიდიებს (მაგალითად, გადარიცხვები სახელმწიფო ან მუნიციპალიტეტის ბიუჯეტებიდან) და არ მოიცავს სხვა ფინანსურ შემოსავალს, რომელიც დაკავშირებული არ არის პროექტის განხორციელებასთან.

 

თავი II

პროექტის წინასწარი შეფასება

მუხლი 4. პროექტის წინასწარი შეფასების არსი, მიზანი და ახალი პროექტის გამოვლენის მექანიზმები

1. პროექტების წინასწარი შეფასება არის პროექტის სტრატეგიული ამოცანის, ლოგიკური დასაბუთების, ბიუჯეტზე ზემოქმედების და ეკონომიკური ეფექტიანობის (მიზანშეწონილობის) შეფასების პროცესი.

2. პროექტის წინასწარი შეფასების მიზანია ისეთი პროექტების გამორიცხვა, რომლებიც არ შეესაბამება საქართველოს მთავრობის ან კონკრეტული სექტორის, რეგიონის, ავტონომიური რესპუბლიკის თუ მუნიციპალიტეტის პრიორიტეტებს, არ არის ეკონომიკურად ეფექტიანი და/ან საბიუჯეტო შეზღუდვების პირობებში ნაკლებად ეფექტიანია ეკონომიკური თვალსაზრისით.

3. წინასწარი შეფასების ეტაპი უზრუნველყოფს:

ა) პროექტის რაციონალურობის დადგენას ლოჯისტიკის, რისკების და მდგრადობის თვალსაზრისით;

ბ) პროექტის შეუფერებელი ალტერნატივების გამორიცხვას/უარყოფას და პროექტის საბოლოო შერჩევისთვის შესაფერისი ალტერნატივების იდენტიფიცირებას.

4. ახალი პროექტის გამოვლენის შესაძლო მექანიზმებია, მათ შორის:

ა) აქტივების მართვის სისტემების არსებობის შემთხვევაში კონკრეტული სახელმწიფო აქტივების მდგომარეობისა და დარჩენილი სასიცოცხლო ციკლის შესახებ ინფორმაციის მოპოვება და იმ აქტივების იდენტიფიცირება, რომლებიც უახლოეს მომავალში საჭიროებს გარკვეულ ჩანაცვლებას/ცვლილებას;

ბ) სხვადასხვა დარგობრივი და რეგიონული სტრატეგიული გეგმების საშუალებით გამოიკვეთება სახელმწიფო ინვესტიციების პრიორიტეტული სფეროები, რაც ხელს შეუწყობს პროექტის იდენტიფიცირებას;

გ) ინფრასტრუქტურის ძირითადი დარგებისთვის შემუშავებული გენერალური გეგმების საშუალებით შესაძლებელია კონკრეტული პროექტებისა და მათი პრიორიტეტული თანმიმდევრობის იდენტიფიცირება;

დ) შესაბამისი დაინტერესებული მხარეების, მათ შორის ადგილობრივი მოსახლეობის ჩართულობა.

5. წინასწარი შეფასების პროცესი გულისხმობს პროექტის სტრატეგიულობის, დასაბუთებულობის, სოციალურ გარემოზე და ბიუჯეტზე გავლენის  შეფასებას.

6. წინასწარი შეფასების ეტაპი საშუალებას იძლევა განხილული იქნეს პრობლემის/საკითხის გადაჭრის ალტერნატიული შესაძლებლობები და საბოლოო შეჯერება მოხდეს რამდენიმე ვარიანტზე, რომელთაგან ერთ-ერთია იმის განხილვა რა შედეგი დადგება, იმ შემთხვევაში თუ პროექტი არ განხორციელდება.

7. პროექტის წინასწარი შეფასების პროცესის დაწყება არ არის უშუალო კავშირში საბიუჯეტო ციკლთან და შეიძლება დაიწყოს საბიუჯეტო წლის ნებისმიერ მონაკვეთში. როგორც წესი, აღნიშნული პროცესი უნდა დაიწყოს პრობლემის იდენტიფიცირებისთანავე, მასზე რეაგირებაზე პასუხისმგებელი პირების მიერ და უნდა დაეთმოს სათანადო დრო პროექტის და მისი ალტერნატივების გაანალიზებას. პროექტის წინასწარი შეფასების ეტაპი, როგორ წესი უნდა დაიწყოს სულ მცირე ერთი წლით ადრე იმ საბიუჯეტო წლის დაწყებამდე, რომლის ფარგლებშიც მოიაზრება პროექტის განხორციელება, თუმცა პროექტის მასშტაბისა და სირთულის გათვალისწინებით შესაძლებელია გაცილებით უფრო ხანგრძლივი ან შედარებით ხანმოკლე დროის პერიოდი იყოს საჭირო.

მუხლი 5. პროექტის კონცეფციის ბარათი

1. წინასწარი შეფასების  განხორციელების მიზნით, უნდა მომზადდეს პროექტის კონცეფციის ბარათი, რომელიც მოიცავს პროექტთან დაკავშირებულ ძირითად ინფორმაციას.

2. პროექტის კონცეფციის ბარათში ინფორმაცია შეტანილი უნდა იყოს შიდა ანალიზისა და მსჯელობის საფუძველზე. ის გულისხმობს პროექტის შესახებ კონსენსუსის მიღწევას და მის შემუშავებაში პროექტის სპეციფიკის (მასშტაბი, სირთულე და სხვა) გათვალისწინებით სასურველია მონაწილეობდნენ კონკრეტული სფეროს  სპეციალისტები და ექსპერტები. პროექტის შინაარსიდან გამომდინარე, პროექტის შესახებ კონსენსუსის მიღწევა აგრეთვე შესაძლებელია გულისხმობდეს შესაბამისი გარეშე დაინტერესებული მხარეების და სამთავრობო უწყებების მონაწილეობას. ზემოაღნიშნული  აისახება პროექტის კონცეფციის ბარათის სრულყოფილად მომზადების პროცესზე.

3. შესაძლებელია, რომ კონცეფციის ბარათის მომზადება დაიწყოს და არ დასრულდეს, თუ მისი მომზადების ეტაპზევე გამოიკვეთება, რომ პროექტის შემდგომი დამუშავება მიზანშეწონილი არ არის. ეს არ უნდა ჩაითვალოს რესურსების არაეფექტიან გამოყენებად.

4. პროექტის კონცეფციის ბარათი უნდა მოიცავდეს შემდეგ ინფორმაციას:

ა) პროექტისა და მისი განმახორციელებლის შესახებ ძირითადი ინფორმაცია;

ბ) პროექტის არსი, ინტერვენციის ლოგიკა, პროექტის განხორციელების საჭიროების და მოთხოვნის შეფასება (მათ შორის, ინფორმაცია გენდერულ ჭრილში);

გ) პროექტის შესაბამისობა სტრატეგიულ დოკუმენტებთან;

დ) პროექტის ეკონომიკური მნიშვნელობის წინასწარი შეფასება და ალტერნატივების ანალიზი;

ე)  პროექტის გავლენა ბიუჯეტზე და ფინანსური რესურსის ხელმისაწვდომობა;

ვ)  პროექტის განხორციელებასთან დაკავშირებული საკითხები;

ზ) პროექტის მდგრადობასთან დაკავშირებული საკითხები (მათ შორის, სოციალური ზემოქმედების და გენდერული ასპექტების შეფასება);

თ)  პროექტის  შეფასებისთვის საჭირო კვლევები.

5. პროექტის კონცეფციის ბარათი მზადდება ამ მეთოდოლოგიის დანართი №1-ის შესაბამისად.

6. პროექტის წინასწარი შეფასების ეტაპზე კონცეფციის ბარათის მომზადებისას გათვალისწინებული უნდა იყოს შემდეგი საკითხები:

ა) პროექტის მიზნებისა და სფეროს განსაზღვრა:

ა.ა) პროექტის კონცეფციის ბარათი უნდა მოიცავდეს პროექტის ლოგიკური დასაბუთების, სტრატეგიული მნიშვნელობის, ძირითადი მიზნის, მთავარი ამოცანის, შედეგების/პროდუქტების და აქტივობების აღწერას;

ა.ბ) პროექტის სტრატეგიული დასაბუთება პროექტის კონცეფციის ბარათის ძირითადი კომპონენტი და წინასწარი შეფასების გადაწყვეტილების მიღების მთავარი კრიტერიუმია. მნიშვნელოვანია დარწმუნება პროექტის ხანგრძლივ სტრატეგიულ მნიშვნელობაში იმის გათვალისწინებით, რომ საქართველოს მთავრობის, სამინისტროს, ავტონომიური რესპუბლიკის ან მუნიციპალიტეტის მიერ დასახული პოლიტიკური მიმართულება შეიძლება დროთა განმავლობაში შეიცვალოს;

ა.გ) პრობლემისა და მოქმედების აუცილებლობის დასაბუთების შემდეგ, მნიშვნელოვანია მკაფიოდ ჩამოყალიბდეს პროექტის ამოცანები, რათა შესაძლებელი იყოს დასახული მიზნების მიღწევის ალტერნატიული გზების გაანალიზება;

ა.დ) უნდა განისაზღვროს პროექტის პროდუქტები/შედეგები (ანუ რას მივიღებთ პროექტის დასრულების შედეგად) და მათ მისაღებად გასატარებელი აქტივობები.

ბ) პროექტის ალტერნატივების იდენტიფიცირება და შერჩევა:

პროექტის კონცეფციის ბარათი უნდა მოიცავდეს პროექტის  ალტერნატიული  ვარიანტების შეფასებას, პროექტის განხორციელების შემთხვევაში მისი ხარჯებისა და სარგებლის გაანალიზების მიზნით, პროექტის არსებობის სასიცოცხლო ციკლის მანძილზე. პროექტის ინიციატორებმა დეტალურად უნდა მიმოიხილონ პროექტის განხორციელების ალტერნატიული ვარიანტები, მათ შორის, „არაფრის კეთების“ ალტერნატივა. ასევე, დამატებით ტექნიკურ-ეკონომიკური კვლევის მომზადების შემთხვევაში, მიღებული შედეგების საფუძველზე, მნიშვნელოვანია გადაიხედოს ალტერნატივები, აგრეთვე შესაძლებელია განხილულ იქნეს ახალი ალტერნატიული ვარიანტების დამატების შესაძლებლობა, მათ შორის კლიმატის ცვლილებასთან დაკავშირებით;

გ) პროექტით უზრუნველყოფილ მომსახურებებზე მოთხოვნის განსაზღვრა:

გ.ა) პროექტების შეფასების ეტაპზე მნიშვნელოვანია დაზუსტდეს მოთხოვნის ანალიზი;

გ.ბ) უნდა განისაზღვროს პროექტის შედეგად მიღებულ კონკრეტულ მომსახურებებზე მოთხოვნის პროგნოზები, ნომინალურ გამოხატულებაში, მათ შორის პროექტის სასიცოცხლო ციკლის პერიოდში ამ მოთხოვნის ცვლილების (ზრდა/შემცირება) პროგნოზი;

დ) ეკონომიკური ანალიზი:

დ.ა) ეკონომიკური ანალიზი უნდა მოიცავდეს ყველა დაშვებას და მონაცემს, მათ შორის გათვალისწინებული უნდა იყოს ის კვლევები, რომელიც მოთხოვნილი იქნება წინასაწარი შეფასების ეტაპზე სამუშაო ჯგუფის მიერ;

) სხვა ანალიზები, რომლებიც შესაძლებელია განხორციელდეს წინასწარი შეფასების ეტაპზე:

ე.ა) რისკების ანალიზი და მათი მართვის დაგეგმვა:

ე.ა.ა) რისკი გაურკვეველი მოვლენა ან მდგომარეობაა, რომელიც რეალობად ქცევის შემთხვევაში, დადებით ან უარყოფით გავლენას მოახდენს პროექტზე;

ე.ა.ბ) რისკების ანალიზის მასშტაბი და ტიპი უნდა იყოს პროექტთან დაკავშირებული საკითხების შესაბამისი;

ე.ა.გ) რისკის მართვა მოიცავს ძირითად რისკებზე რეაგირების  ფორმულირებას. რეაგირების შედეგად უნდა შეიცვალოს პროექტის გეგმა ისე, რომ იდენტიფიცირებული რისკები შერბილდეს ან აღმოიფხვრას;

ე.ა.დ) რისკები შეიძლება დაიყოს შემდეგ კატეგორიებად:

ე.ა.დ.ა) სამშენებლო რისკი – დროულად დაუსრულებელი აქტივი ბიუჯეტთან ან პროექტის სპეციფიკასთან დაკავშირებით;

ე.ა.დ.ბ) მოთხოვნის რისკი – მომსახურებაზე არსებული მოთხოვნის შეუსაბამობა არსებულ პროგნოზთან;

ე.ა.დ.გ) დაგეგმვის რისკი – მომსახურების საჭირო დონეზე ან ხარისხის სტანდარტების შესაბამისად გაწევის შესაძლებლობის არქონა;

ე.ა.დ.დ) ეკონომიკური რისკი – ეკონომიკური პარამეტრების გავლენა პროექტის ხარჯებზე ან შემოსავლებზე;

ე.ა.დ.ე) გარემოზე ზემოქმედების რისკი – პროექტის განხორციელების შედეგად გარემოზე ზემოქმედების გავლენა, რომელიც მათ შორის, არსებითად ზიანს აყენებს გარემოს და იწვევს საზოგადოების მხრიდან უარყოფით დამოკიდებულებას;

ე.ა.დ.ვ) კლიმატის ცვლილების რისკი – პროექტზე კლიმატის ცვლილებით გამოწვეული საფრთხეების  ზეგავლენა;

ე.ა.დ.ზ) დაფინანსების რისკი – დაფინანსების ხელმისაწვდომობას შეუძლია პროექტის გადავადება ან მისი მასშტაბის ცვლილება;

ე.ა.დ.თ) სამართლებრივი რისკი – კანონმდებლობის ცვლილება ზრდის ხარჯებს (მაგ.: გარემოს დაცვის სტანდარტების გამკაცრება);

ე.ა.დ.ი) ოპერაციული და ტექნიკური მომსახურების რისკი – ახალი ობიექტის ოპერირების და ტექნიკური მომსახურების ხარჯები განსხვავდება დაგეგმილი ბიუჯეტისგან;

ე.ა.დ.კ) შესყიდვებთან დაკავშირებული რისკი – კონტრაქტორების არასაკმარისი შესაძლებლობები ან სახელშეკრულებო დავები;

ე.ა.დ.ლ) ტექნოლოგიური რისკი – მომსახურების გაწევა არაოპტიმალური ტექნოლოგიით სწრაფი ტექნოლოგიური ცვლილების გამო;

ე.ბ) პროექტის მდგრადობის ანალიზი – მოიცავს პროექტის და მისი განმახორციელებელი ორგანიზაციის ფინანსურ ანალიზს, მის შესაძლებლობას დაფაროს ყველა საჭირო ხარჯი და ფინანსური ვალდებულება, ფინანსური მდგრადობის შესაფასებლად. განისაზღვრება ბიუჯეტზე ზემოქმედება ასიგნებების ზღვრულ მოცულობებთან მიმართებაში. პროექტის შინაარსის გათვალისწინებით, შესაძლებებლია განხორციელდეს გარემოზე ზემოქმედების და სოციალური მდგრადობის შეფასება, მათ შორის კლიმატის ცვლილების და გენდერული უთანასწორობის გავლენის შეფასება;

ე.ბ.ა) პროექტის ფინანსური ანალიზის განხორციელება ფინანსური მომგებიანობის და მდგრადობის განსაზღვრის მიზნით:

ე.ბ.ა.ა) განისაზღვრება დადებით გავლენას მოახდენს თუ არა პროექტი ფინანსურ ამოცანებზე და რამდენად მდგრადი იქნება ის გრძელვადიან პერიოდში;

ე.ბ.ა.ბ) ფინანსური ანალიზი გამოიყენება ყველა კატეგორიის პროექტისთვის;

.ბ.ბ) ფინანსური ანალიზი განმახორციელებელი ორგანიზაციის მდგრადობის შესაფასებლად:

ე.ბ.ბ.ა) ფინანსური ანალიზი განისაზღვრება ერთის მხრივ, საინვესტიციო-კაპიტალური პროექტის განმახორციელებელი  ორგანიზაციის მსგავსი პროექტების განხორციელების გამოცდილება და მეორეს მხრივ საინვესტიციო-კაპიტალური პროექტის განხორციელების შედეგად შექმნილი აქტივის მფლობელი ორგანიზაციის ფინანსური მდგრადობა, რომელიც გულისხმობს ამ ორგანიზაციის მიერ აქტივის მართვის გამოცდილებისა და მოვლა-შენახვისთვის საჭირო ფინანსური რესურსების  ქონას;

.ბ.გ) პროექტის ბიუჯეტის ანალიზი:

ე.ბ.გ.ა) განისაზღვრება ბიუჯეტზე ზემოქმედება ასიგნებების ზღვრულ მოცულობებთან მიმართებაში. ბიუჯეტის ანალიზი უნდა განხორციელდეს ყველა პროექტისთვის, რათა განისაზღვროს განხორციელების და ოპერირების განმავლობაში პროექტის გავლენა სახელმწიფო ბიუჯეტზე და ფისკალური თვალსაზრისით ინვესტიციების ხელმისაწვდომობასთან მიმართებაში. ბიუჯეტის ანალიზი შესაძლებელს ხდის შეფასდეს პროექტისთვის განსაზღვრული ბიუჯეტი, ხარჯების ზღვრული მოცულობის პროგნოზთან და ბიუჯეტის მომზადების პროცესში ხელმისაწვდომ ფისკალურ რესურსთან მიმართებაში;

ე.ბ.გ.ბ) ბიუჯეტზე ზემოქმედების ანალიზისთვის ხარჯები გამოსახული უნდა იყოს მიმდინარე ფასებით. ორგანიზაციებმა, რომლებიც ახორციელებენ პროექტებს, უნდა გამოიყენონ საშუალოვადიანი პერიოდისათვის არსებული მაკრო-ფისკალური პარამეტრების პროგნოზები, ან საჭიროების და პროექტის ხანგრძლივობის გათვალისწინებით კონსულტაციები აწარმოონ საქართველოს ფინანსთა სამინისტროსთან;

ე.ბ.გ.გ) ბიუჯეტის ანალიზი შეიძლება გამოყენებულ იქნეს ბიუჯეტზე ზემოქმედების შესაფასებლად მიმდინარე ღირებულებით. აღნიშნული უფრო ფართოა ვიდრე ფინანსური ანალიზი (მაგრამ არც ისეთი ფართომასშტაბიანი, როგორც ეკონომიკური ანალიზი), რადგან ის ითვალისწინებს ყველა პირდაპირ და არაპირდაპირ ფინანსურ ნაკადს, რომელიც გავლენას ახდენს  სახელმწიფო ფინანსებზე და არა მარტო იმ ნაკადებს, რომლებიც გავლენას ახდენენ პროექტის განმახორციელებელ ორგანიზაციაზე. ბიუჯეტზე ზემოქმედების ანალიზი უნდა მომზადდეს მხოლოდ ძირითადი პროექტებისთვის, რომლებსაც გააჩნია პირდაპირი შემოსავლების მიღების მნიშვნელოვანი პოტენციალი ან არსებითი საგადასახადო ეფექტი.  

ე.ბ.დ) პროექტის გარემოზე ზემოქმედების და სოციალური მდგრადობის შეფასება:

ე.ბ.დ.ა) პროექტის შინაარსის გათვალისწინებით, შესაძლებელია განხორციელდეს პროექტის გარემოზე ზემოქმედების და სოციალური მდგრადობის განსაზღვრა და ნებისმიერი რისკის იდენტიფიცირება, რომელმაც შესაძლოა საფრთხე შეუქმნას მდგრადობას;

ე.ბ.დ.ბ) პროექტის შეფასება უნდა ადასტურებდეს პროექტების მდგრადობას მთლიანობაში გარემოზე ზემოქმედების თვალსაზრისით, რათა ისინი არ ახდენდნენ არასათანადო დაუბალანსებელ ზემოქმედებას საზოგადოების სხვადასხვა ჯგუფებზე, რასაც შეუძლია ეჭვქვეშ დააყენოს მათი სოციალური მდგრადობა;

ე.ბ.დ.გ) ინფრასტრუქტურული პროექტები ხშირად  მნიშვნელოვან გავლენას ახდენენ გარემოზე და სოციალური ზემოქმედებით გამოირჩევიან. პროექტის მასშტაბიდან, კატეგორიიდან და აღნიშნული ზემოქმედების სავარაუდო მნიშვნელობიდან გამომდინარე, შესაძლებელია აუცილებელი გახდეს გარემოზე ზემოქმედების შეფასება და/ან სოციალური ზემოქმედების შეფასება, მათ შორის გენდერული და კლიმატის ცვლილებასთან დაკავშირებული გავლენის ანალიზი;

ე.ბ.დ.დ) საქართველოს კანონმდებლობით განსაზღვრულ შემთხვევებში გარემოზე ზემოქმედების შეფასების (გზშ) ანგარიში მზადდება საქართველოს კანონმდებლობით განსაზღვრული წესითა და პროცედურების დაცვით;

ე.ბ.დ.ე) გარემოზე ზემოქმედების შეფასება ხორციელდება წინასწარი შეფასების ეტაპზე, ტექნიკურ-ეკონომიკური კვლევის დასრულებამდე (ასეთის არსებობის შემთხვევაში), იმისათვის რომ შედეგების გათვალისწინება შესაძლებელი იყოს  ეკონომიკურ ანალიზში;

) პროექტის საუკეთესო ალტერნატივის განსაზღვრა და გადაწყვეტილების მიმღები პირებისათვის რეკომენდაციების მომზადება:

ვ.ა) განისაზღვრება პროექტის მიზანშეწონილობა ფინანსური და ეკონომიკური ანალიზის საფუძველზე ხარჯებისა და სარგებლის ფარდობითი მნიშვნელობის გათვალისწინებით;

ვ.ბ) ხორციელდება  პროექტის ალტერნატივის იდენტიფიცირება ყველა გარემოების შეფასების საფუძველზე და გადაწყვეტილება მიიღება პროექტის განხორციელების საჭიროების თაობაზე. ეს გადაწყვეტილება უნდა ემყარებოდეს ზემოაღნიშნულ სხვადასხვა ანალიზის შედეგების შეფასებას;

ვ.გ) ფინანსურ და ეკონომიკურ ანალიზთან ერთად განისაზღვრება პროექტის ეკონომიკური მიზანშეწონილობა, რომელიც ითვალისწინებს ისეთ არამატერიალურ სარგებელს და ხარჯებს, რომელთა მონეტიზაცია შეუძლებელია;

ვ.დ) რეკომენდებულია ორსაფეხურიანი შეფასების პროცესის განხორციელება  პროექტისთვის, რომლისთვისაც შესაძლებელია წმინდა მიმდინარე ღირებულების (NPV) განსაზღვრა:

ვ.დ.ა) პოზიციის განსაზღვრა პროექტის ეკონომიკურ მიზანშეწონილობასთან დაკავშირებით ფინანსური და ეკონომიკური ანალიზის საფუძველზე;

ვ.დ.ბ) პოზიციის კორექტირება იმის მიხედვით, თუ რამდენად უწყობს ხელს ხელმისაწვდომობის და მდგრადობის ფაქტორები პროექტის განხორციელებას და ასევე ხარჯების და სარგებლის ფარდობითი მნიშვნელობის გათვალისწინებით, რაც შესაძლოა არ ყოფილიყო ასახული მონეტარული თვალსაზრისით, მაგრამ  ხარისხობრივად იქნა გაანალიზებული პროექტის გარემოზე ზემოქმედების და სოციალური მდგრადობის შეფასების ეტაპზე;

ვ.ე) ზემოაღნიშნული ანალიზის შედეგები და რეკომენდაციები წარმოდგენილ უნდა იქნეს სამუშაო ჯგუფის მიერ მომზადებულ პროექტის შემაჯამებელ ინფორმაციაში;

ვ.ვ) ხარჯთ-სარგებლიანობის ანალიზს დაქვემდებარებული პროექტების შემთხვევაში, გადაწყვეტილება მიღებულ უნდა იქნეს იმის მიხედვით, თუ პროექტის რომელი ალტერნატივა იქნება სავარაუდოდ ყველაზე ეფექტიანი. ეს უკანასკნელი იძლევა პროდუქციის ერთეულის წარმოების შესაძლებლობას ყველაზე დაბალი მოსალოდნელი ხარჯით. უპირატესი ალტერნატივის განხორციელებაზე საბოლოო გადაწყვეტილების მისაღებად საჭიროა დასაბუთებული პოზიციის ჩამოყალიბება. გადაწყვეტილების მიღებისას მნიშვნელოვანია იმის გათვალისწინება, თუ რამდენად ნიშნავს ყველაზე ნაკლები ხარჯის მქონე პროექტის განხორციელება სახელმწიფო ფინანსების უკეთეს გამოყენებას, პროექტის არგანხორციელებასთან  შედარებით. 

მუხლი 6. მეთოდოლოგიური მიდგომები პროექტების წინასწარი შეფასების ეტაპზე

1. პროექტის წინასწარი შეფასების მეთოდოლოგიური მიდგომები უნდა შეირჩეს პროექტის შინაარსიდან გამომდინარე.

2. აუცილებელია გადაწყვეტილების მიღება იმის შესახებ, თუ რა პერიოდის გაანალიზებაა საჭირო ძირითადი პროექტის ხარჯებისა და სარგებლის შესაფასებლად. ჩვეულებრივ, გასაანალიზებელი პერიოდი პროექტის შედეგად შექმნილი ძირითადი საშუალების სიცოცხლისუნარიანობის პერიოდს ემთხვევა, კერძოდ:.

პროექტების საანალიზო პერიოდები სექტორების მიხედვით

სექტორი

წელი

რკინიგზა

30

გზები

25-30

პორტები და აეროპორტები

25

საქალაქო ტრანსპორტის ინფრასტრუქტურა

25-30

წყლის მიწოდებისა და კანალიზაციის სისტემა

30

ნარჩენების მართვა

15-25

ენერგია

15-25

ფართოდიაპაზონიანი გადაცემა

15-20

ბიზნესინფრასტრუქტურა

10-15

სხვა სექტორები

10-15

წყარო: ევროკომისია, 2014 წ.

3. ხარჯთ-სარგებლიანობის ანალიზი პროექტის შეფასების ძირითადი ელემენტია. აღნიშნული ანალიზი რესურსების ეფექტიანი გამოყენების მიზნით იძლევა პროექტის ეკონომიკური მიზანშეწონილობის და პროექტის ალტერნატიული ვარიანტების შეფასების შესაძლებლობას. ხარჯთ-სარგებლიანობის ანალიზის დროს საინვესტიციო პროექტთან დაკავშირებული პირდაპირი და არაპირდაპირი ხარჯები და სარგებელი გამოსახულია ფულად ღირებულებაში, ასევე გამოითვლება წმინდა მიმდინარე ღირებულება.  ხარჯთ-სარგებლიანობის ანალიზის დროს ხორციელდება პროექტის ზეგავლენის შედარება „არაფრის კეთების“ ალტერნატივასთან.  ხარჯთ-სარგებლიანობის ანალიზის განხორციელებისას:

ა) ანალიზისთვის განსაზღვრული დაშვებები უნდა ეფუძნებოდეს მსგავსი პროექტებიდან მიღებულ ცოდნასა და გამოცდილებას (ასეთის არსებობის შემთხვევაში) და იყოს შეძლებისდაგვარად მაქსიმალურად რეალისტური და ზუსტი;      

ბ) პროექტების შეფასების მნიშვნელოვანი ნაწილია მოთხოვნის ანალიზი. მოთხოვნის პროგნოზირებას გადამწყვეტი მნიშვნელობა აქვს  კაპიტალურ აქტივებზე სათანადო საინჟინრო თუ სხვა ტიპის გადაწყვეტილების შესამუშავებლად;

გ) პროექტის შეფასების პროცესში, ინიციატორებმა პროექტის შედეგად მიღებულ კონკრეტულ მომსახურებებზე მოთხოვნის წინასწარი პროგნოზები უნდა  გამოსახონ ნომინალურ გამოხატულებაში, მათ შორის პროექტის პერიოდში ამ მოთხოვნის ზრდის პროგნოზი. პროექტის სპეციფიკის გათვალისწინებით, ასეთი საპროგნოზო მაჩვენებლები შეიძლება იყოს: სკოლაში ბავშვების მიღების მაჩვენებელი, საავადმყოფოს დატვირთულობა, საგზაო მოძრაობის ინტენსივობა, წყლის მოხმარება, მყარი ნარჩენების წარმოქმნა და სხვა;

დ) მოთხოვნის პროგნოზების დეტალიზაციის დონე შეიძლება განსხვავებული იყოს, პროექტის მასშტაბის  და შინაარსის მიხედვით.  მოთხოვნის მეტისმეტად ოპტიმისტური პროგნოზები სახელმწიფო ინვესტიციების შესახებ არამართებული გადაწყვეტილების მიღების მიზეზი ხდება. საჭირობის შემთხვევაში შესაძლებელია, მოთხოვნის პროგნოზები შემოწმდეს დამოუკიდებელი გარეშე პირების მიერ, განსაკუთრებით მასშტაბური პროექტების შემთხვევაში;

ე) ეკონომიკური ხარჯთ-სარგებლიანობის ანალიზის დროს ხდება საინვესტიციო პროექტის ხარჯებისა და სარგებლიანობის შეფასება ეკონომიკურ ჭრილში და სცდება განმახორციელებელი უწყების ფინანსური მაჩვენებლების ვიწრო სპექტრს. იგი მოიცავს ხარჯებისა და სარგებლის შეფასებას მთელი საზოგადოების ჭრილში, მათ შორის, ისეთი  ხარჯებისა და სარგებლის ჩათვლით, რომელთა საბაზრო ფასებზე უშუალო დაკვირვება შეუძლებელია. ანალიზი მოიცავს ფასებისა და სარგებლის იდენტიფიცირებას და შეფასებას წმინდა ეკონომიკური ეფექტიანობის მიხედვით.

4. ალტერნატივების შედარების, ეკონომიკური მიზანშეწონილობის განსაზღვრის და საუკეთესო ალტერნატივის შერჩევის მიზნით, ეკონომიკური ანალიზისთვის, გარდა ხარჯთ-სარგებლიანობის ანალიზისა, შესაძლებელია გამოყენებული იქნეს ხარჯთ-ეფექტიანობის ანალიზი (CEA), იმ შემთხვევაში, თუ პროექტის სარგებლის ფულადი ღირებულების შეფასება რთულია და განიხილება ერთი და იგივე ან მსგავსი შედეგების მომტანი ალტერნატივები.

მუხლი 7. ფინანსური და ეკონომიკური ანალიზი პროექტის წინასწარი შეფასების ეტაპზე

1. ფინანსური ანალიზი პროექტების წინასწარი შეფასების ეტაპზე

ა) ფინანსური ანალიზის ჩატარება აუცილებელია პროექტის მომგებიანობის, პროექტის ფინანსური მდგრადობის შეფასების და ბიუჯეტზე გავლენის განსაზღვრის მიზნით;

ბ) ფინანსური ანალიზი ტარდება მთლიანი სასიცოცხლო ციკლის განმავლობაში პროექტის ხარჯების და მისი განხორციელებით მიღებულ მოსალოდნელ შემოსავლებთან შედარების მიზნით, რომელიც დისკონტირებულია ფულადი სახსრების მეთოდის გამოყენებით. ფინანსური ანალიზი ხორციელდება შემდეგი ფაქტორების გათვალისწინებით:

ბ.ა) ანალიზში განიხილება ფულადი ნაკადების შემოდინება და გადინება;

ბ.ბ) მომავალი ფულადი ნაკადების მიმდინარე ღირებულება გამოითვლება  დისკონტირების განაკვეთით;

ბ.გ) ფულადი ნაკადების პროგნოზირების წლების რაოდენობა უნდა შეესაბამებოდეს პროექტის სასიცოცხლო ციკლის (საანგარიშო პერიოდი) ხანგრძლივობას;

ბ.დ)  „არაფრის კეთების“ ალტერნატივა მისი შესაბამისი მომავალი ფულადი ნაკადებით უნდა იყოს გაანგარიშებული და უნდა შედარდეს პროექტის ალტერნატივებს;

ბ.ე) ფინანსური ანალიზი უნდა მომზადდეს მუდმივი (რეალური) ფასების გათვალისწინებით;

ბ.ვ) ფინანსური ანალიზი უნდა მომზადდეს დამატებული ღირებულების გადასახადის გათვალისწინებით;

გ) ფინანსური ანალიზის საბოლოო შედეგები წარმოდგენილია ორი ფინანსური ინდიკატორის სახით – წმინდა მიმდინარე ღირებულება (NPV) და შიდა უკუგების დონე (IRR). ასევე, არსებობს დამატებითი ინდიკატორის, ხარჯთ-სარგებლიანობის კოეფიციენტის (BCR) გათვალისწინების შესაძლებლობა;

დ) პროექტის განხორციელების ან განუხორციელებლობის შესახებ გადაწყვეტილების მიღებისთვის ფინანსური ანალიზი ზოგიერთ შემთხვევაში შესაძლებელია არ წარმოადგენდეს გადამწყვეტ ფაქტორს  (პროექტის განხორციელების შესახებ გადაწყვეტილების მიღება დასაშვებია მაშინაც კი, თუ მისი ფინანსური მომგებიანობის მაჩვენებლები უარყოფითია), იმის გათვალისწინებით, რომ საჯარო სექტორში განხორციელებული ბევრი პროექტი არ წარმოადგენს ფინანსური სარგებლის მომტან პროექტს. ფინანსური ანალიზი შეიცავს მნიშვნელოვან ინფორმაციას, განსაზღვრავს ფინანსური ხარჯების ოდენობას, რაც მოგვიანებით აისახება ეკონომიკურ ანალიზში;

ე) წინასწარი შეფასების ეტაპზე ფინანსური ანალიზის მომზადებისას აუცილებელია არანაკლებ შემდეგი ინდიკატორების გაანალიზება:

ე.ა) პროექტის მთლიანი ღირებულება (კაპიტალური დანახარჯები – CAPEX), რომელიც მოიცავს პროექტის საწყის საინვესტიციო ხარჯებს (პროექტის ყველა მატერიალური და არამატერიალური აქტივების კაპიტალური ხარჯების ჩათვლით) და  კაპიტალური აქტივების ჩანაცვლების ხარჯებს (გარდა მოვლა-შენახვის და სხვა საოპერაციო ხარჯებისა);

ე.ბ) ნარჩენი ღირებულება გამოხატავს პროექტის პროგნოზის ბოლო წლისათვის, აქტივის სასიცოცხლო ციკლის ამოწურვამდე დარჩენილ ღირებულებას და წარმოადგენს სხვაობას ძირითად საშუალებასა და აკუმულირებულ ცვეთას შორის. ნარჩენი ღირებულების გაანგარიშებაში არ მონაწილეობს მოვლა-შენახვის ხარჯები;

ე.გ) საოპერაციო ხარჯები (OPEX) მოიცავს პროექტის სასიცოცხლო ციკლის განმავლობაში აქტივების მოვლა-შენახვასთან, ექსპლუატაციასთან და ტექნიკური მომსახურებასთან დაკავშირებულ ყველა ხარჯს. საოპერაციო ხარჯებია მაგალითად: მოვლა-შენახვის, შრომის ანაზღაურების, ოფისის, კომუნალური, ტექნიკური მომსახურების (აქტივების ტექნიკური მომსახურება ან შეკეთება, მიმდინარე რემონტი), დასუფთავების და სხვა ხარჯები;

ე.დ) საოპერაციო შემოსავლები მოიცავს პროექტის შედეგად წარმოებული საქონლისა და/ან მომსახურების გაწევიდან მიღებულ ფულად სახსრებს. აღნიშნული შემოსავლების ოდენობის პროგნოზირება ხდება საოპერაციო წლებში მიწოდებული საქონლის და გაწეული მომსახურების ღირებულების და სავარაუდო რაოდენობის გათვალისწინებით. მათი შეფასება უნდა განხორციელდეს მიმდინარე და მომავალი მოთხოვნების პროგნოზის საფუძველზე, არსებული და დაგეგმილი ინფრასტრუქტურის შესაძლებლობების გათვალისწინებით. საოპერაციო შემოსავლები არ უნდა მოიცავდეს ტრანსფერებს ან სუბსიდიებს და ასევე სხვა ფინანსურ შემოსავალს;

ვ) პროექტის თითოეული ალტერნატივის ფინანსური მაჩვენებლების შედარების მიზნით, უნდა მომზადდეს დიფერენცირებული  ფულადი ნაკადების გაანგარიშება. კერძოდ:

ვ.ა) დიფერენცირებული ფულადი ნაკადები შეადგენს პროექტის განხორციელების თითოეულ ალტერნატივას და „არაფრის კეთების“ ალტერნატივას შორის სხვაობას;

ვ.ბ) ხორციელდება პროექტის თითოეული ალტერნატივის ფინანსური მაჩვენებლების გამოთვლა და ერთმანეთთან შედარება, მათ შორის, საუკეთესო ალტერნატივის განსაზღვრის მიზნით;

ზ) ფინანსური მაჩვენებლების გაანგარიშება

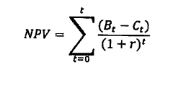
ზ.ა) წმინდა მიმდინარე ღირებულების (NPV) გამოთვლა

ზ.ა.ა) წმინდა მიმდინარე ღირებულება (NPV) წარმოადგენს  პროექტის ფინანსურ შემოსავლებსა და ფინანსურ ხარჯებს შორის სხვაობას, რომლებიც დისკონტირებულია მიმდინარე ღირებულებით. წმინდა მიმდინარე ღირებულება გამოითვლება შემდეგი ფორმულით:

სადაც,

B – დადებითი ფულადი ნაკადები (სარგებელი),

C – უარყოფითი ფულადი ნაკადები (ხარჯი),

r –დისკონტირების განაკვეთი

t – დრო (წლებში).               

ზ.ა.ბ) პროექტი მომგებიანია, თუ წმინდა მიმდინარე ღირებულება ნულზე მეტია, რაც იმას ნიშნავს, რომ სარგებლის მთლიანი დისკონტირებული შემოსავალი უფრო მეტია, ვიდრე მთლიანი დისკონტირებული ხარჯი.

ზ.ბ) შიდა უკუგების დონე (IRR)

ზ.ბ.ა) პროექტის შესაფასებლად შიდა უკუგების დონე  (IRR)  ერთ-ერთი მნიშვნელოვანი პარამეტრია, ამასთან გასათვალისწინებელია, რომ:

ზ.ბ.ა.ა) ზოგიერთ  კონკრეტულ  შემთხვევაში,  შეუძლებელია ისეთი დისკონტის განაკვეთის პოვნა, რომელიც წმინდა მიმდინარე ღირებულებას (NPV) ნულს გაუტოლებს;

ზ.ბ.ა.ბ) შესაძლებელია არსებობდეს ერთზე მეტი დისკონტირების განაკვეთი, რომელიც ნულოვან წმინდა მიმდინარე ღირებულებას (NPV) მოგვცემს;

ზ.ბ.ა.გ) შიდა უკუგების დონე (IRR) შეიძლება გამოყენებულ იქნეს სხვადასხვა მასშტაბის პროექტების შესადარებლად. შიდა უკუგების დონე (IRR) უფრო რელევანტურია ურთიერთგამომრიცხავ პროექტებთან დაკავშირებით გადაწყვეტილების მიღებისას, ვიდრე ინდივიდუალური პროექტის და მისი ალტერნატივების ეკონომიკური სიცოცხლისუნარიანობის  შეფასებისას;

ზ.გ) ხარჯთ-სარგებლიანობის კოეფიციენტი  (Benefit Cost Ratio – BCR)თუ ხარჯთ-სარგებლიანობის კოეფიციენტი (BCR) ერთზე მეტია, პროექტის განხორციელების შედეგად მიღებული შემოსავალი აღემატება გაწეულ ხარჯებს, რაც დადებით ფაქტორად მიიჩნევა.

2. ეკონომიკური ანალიზი პროექტების წინასწარი შეფასების ეტაპზე

ა) ეკონომიკური ხარჯთ-სარგებლიანობის ანალიზი ეფუძნება ფინანსური ფულადი სახსრების ნაკადების ანალიზს. ეკონომიკური ანალიზის უმთავრესი მიზანია ინვესტიციის განხორციელების მიზანშეწონილობის შეფასება, როგორც მთელი საზოგადოების ჭრილში, ასევე ეროვნულ დონეზე და იმის განსაზღვრა, თუ რამდენად სარგებლიანად ხდება პროექტის განხორციელებისთვის საჭირო ეკონომიკური რესურსების გამოყენება;

ბ) ეკონომიკური ანალიზი სამი ეტაპისგან შედგება:

ბ.ა) შესაბამისი სარგებლისა და ხარჯების განსაზღვრა:

ბ.ა.ა) საჭიროა მოხდეს შესაბამისი ხარჯებისა და სარგებლის ძირითადი  სახეების იდენტიფიცირება. შეფასებები უნდა მოხდეს ბიუჯეტიდან ამ კონკრეტული პროექტისთვის დამატებით გასაწევ ხარჯებზე დაყრდნობით. ისეთი ხარჯები, რომლებიც ნებისმიერ შემთხვევაში იქნებოდა გაღებული, უნდა გამოირიცხოს. ხარჯები შემოთავაზებული  ინვესტიციის მთლიანი პერიოდისთვის უნდა შეფასდეს;

ბ.ა.ბ) ხარჯების იდენტიფიცირების სიზუსტე განსხვავებული იქნება პროექტის მნიშვნელობისა და მონაცემთა ხელმისაწვდომობის მიხედვით. ნათელი უნდა იყოს ყველა საპროგნოზო კაპიტალური და მიმდინარე ხარჯის შეფასება, მათ შორის მითითებული უნდა იყოს გამოყენებული დაშვებები, როგორიცაა მაგ.: მომუშავეთა ფაქტობრივი ხარჯები, ენერგიის მოხმარების ფაქტობრივი ხარჯები, მოთხოვნის ზრდა ან ფაქტობრივი გადასახდელები/განაკვეთები;

ბ.ა.გ) ხარჯების და სარგებლის შეფასება უნდა იყოს თანმიმდევრული და სხვადასხვა ალტერნატიული ვარიანტების შედარების საშუალებას იძლეოდეს. ყოველთვის, როდესაც ასეთი შესაძლებლობა არსებობს, სარგებელი ფულადი გამოსახულებით უნდა დადგინდეს. ხშირად შესაძლებელია სხვადასხვა პირობითი ფინანსური ზომების მიღება, თუმცა ზოგ შემთხვევაში ასეთი შეფასება შესაძლებელია დამატებით ხარჯებთან იყოს დაკავშირებული. შესაბამისად, პროექტის მასშტაბისა და სპეციფიკის გათვალისწინებით, მხარჯავი დაწესებულების მიერ უნდა მოხდეს განსაზღვრა თუ რა სირთულის ანალიზი ჩატარდება. შეუძლებელია ყველა ხარჯის და სარგებლის ფულადი გამოსახულებით შეფასება. ის ხარჯები და სარგებელი, რომლებიც ვერ დგინდება ფულადი გამოსახულებით, უნდა აისახოს პროექტის კონცეფციის ბარათში ხარისხობრივი ანალიზის სახით. სადაც შესაძლებელია, აღნიშნული ხარჯები და სარგებელი უნდა გამოისახოს ფიზიკურ სიდიდეებში;

ბ.ა.დ) ეკოლოგიური და სოციალური ანალიზის/ზემოქმედების შეფასების საჭიროებები წინასწარი შერჩევის სტადიაზე უნდა იყოს იდენტიფიცირებული. ყოველთვის, როდესაც ასეთი შესაძლებლობა არსებობს, ეკონომიკური ანალიზის დროს სასურველია ეკოლოგიური და სოციალური ხარჯებისა და სარგებლის იდენტიფიცირება,  შეფასება და ხარჯებისა და სარგებლის გაანგარიშებებში შეტანა. თუ ეს შეუძლებელია, ეს ხარჯები და სარგებელი რაოდენობრივად უნდა შეფასდეს (მათი მასშტაბურობისა და ბენეფიციარების რაოდენობის მიხედვით) და ანალიზში ხარისხობრივი მახასიათებლების სახით იქნეს შეტანილი;

ბ.ა.ე) ხშირად სათბური აირების ემისიების ზრდა/კლება წარმოადგენს პროექტის მნიშვნელოვან ხარჯს/სარგებელს. სათბური აირების ზემოქმედება წარმოადგენს გლობალურ, გრძელვადიან და საერთაშორისო ვალდებულებებს დაქვემდებარებულ ზემოქმედებას, რის გამოც გათვალისწინებული უნდა იქნეს  პროექტის შეფასებისას;

ბ.ა.ვ) პროექტის შინაარსის გათვალისწინებით, ეკოლოგიური და სოციალური  ანალიზის კიდევ ერთი ასპექტი გულისხმობს პროექტის დიფერენცირებული ზემოქმედების შეფასებას გარკვეულ ეკოსისტემებზე/ტერიტორიებზე ან სოციალურ ჯგუფებზე, რომლებიც ერთმანეთისგან გეოგრაფიული მდებარეობით, სოციალური სტატუსით, შემოსავლებით, ეთნიკური წარმომავლობით, გენდერული ასპექტით და სხვა მსგავსი ფაქტორებით განსხვავდებიან. პროექტისა და მისი ალტერნატიული ვარიანტების შეფასების დროს ეს დიფერენცირებული ზემოქმედებები მთელ საზოგადოებაზე პოტენციური ზემოქმედებისაგან განცალკევებით უნდა იყოს განხილული, რადგანაც ისინი შეიძლება სხვადასხვა ჯგუფებს შორის არაპროპორციულად განაწილდნენ, რაც მხედველობაში უნდა იქნეს მიღებული ტექნიკურ-ეკონომიკური მიზანშეწონილობის შესახებ საბოლოო გადაწყვეტილების მიღების დროს;

ბ.ა.ზ) თუ გარკვეული ეკოლოგიური და სოციალური ხარჯები/დანაკარგები რომელიმე კონკრეტული ეკოსისტემის ან ჯგუფის შემთხვევაში დაუშვებლად მაღალია, შეიძლება აუცილებელი გახდეს სათანადო შემარბილებელი ღონისძიებების განსაზღვრა, ეკოლოგიური და სოციალური მდგრადობის უზრუნველსაყოფად. შემარბილებელი ღონისძიებების ხარჯები, ისევე როგორც მათთან დაკავშირებით განსახორციელებელი გაუმჯობესებების ხარჯები, ეკონომიკურ ანალიზში უნდა იყოს შეტანილი;

ბ.ბ) შესაბამისი ხარჯებისა და სარგებლის შეფასება

ბ.ბ.ა) ხარჯებისა და სარგებლის სიდიდეების შეფასების ძირითადი პრინციპებია:

ბ.ბ.ა.ა) პროპორციულობა: კონკრეტული პროექტის მიხედვით ხარჯებისა და სარგებლის სიდიდეების შეფასებისთვის შეიძლება საჭირო იყოს დიდი რესურსის გამოყენება, კვლევების ჩატარება და სიღრმისეული ანალიტიკური სამუშაოს შესრულება.  აღნიშნულის გათვალისწინებით, ზოგადად არ არსებობს იმის მოლოდინი, რომ ყველა პროექტისთვის საჭირო იქნება ერთნაირად სიღრმისეული კვლევითი და ანალიტიკური სამუშაოების ჩატარება, მათი განსხვავებული მასშტაბიდან გამომდინარე;

ბ.ბ.ა.ბ) საბაზრო ფასების გამოყენება: იმის მიუხედავად, რომ ცვლილების საჭიროება შეიძლება ხშირად გაჩნდეს, სტანდარტულად იგულისხმება, რომ საბაზრო ფასები საუკეთესო საწყისი ათვლის წერტილია ხარჯებისა და სარგებლის სიდიდეების შეფასების დროს;

ბ.ბ.ა.გ) ფაქტობრივი ფასების გამოყენება: ხარჯები და სარგებელი მოცემული უნდა იყოს რეალურ გამოსახულებაში. ხარჯები და სარგებელი შეფასებული უნდა იყოს ჩვეულებრივი საბაზისო წლის ფასებით, რომლის შესახებაც ყველა ანალიტიკოსსა და გადაწყვეტილების მიმღებ პირს წინასწარ უნდა ეცნობოს. როგორც წესი საბაზისო წლად მიმდინარე წელს იღებენ;

ბ.ბ.ა.დ) იმ გადასახადების, სუბსიდიების და ტრანსფერების ცვლილება, რომლებიც სავარაუდოდ ზემოქმედებას მოახდენენ უპირატესად მიჩნეულ ალტერნატივაზე: არაპირდაპირი გადასახადები (მაგ.: დღგ), სუბსიდიები და სოციალური ტრანსფერები (მაგ.: სოციალური დახმარებები) ეკონომიკური რესურსების მოხმარებას ან შექმნას არ იწვევენ. ისინი უბრალოდ ასახავენ რესურსების გადანაწილებას საზოგადოების ერთი ნაწილიდან მეორეში. ამრიგად, ისინი გათვალისწინებული არ უნდა იყოს ხარჯებისა და სარგებლის შეფასებაში;

ბ.გ) ეკონომიკური მაჩვენებლების გაანგარიშება

ბ.გ.ა) ეკონომიკური წმინდა მიმდინარე ღირებულების (ENPV) გამოთვლა

ბ.გ.ა.ა) ეკონომიკური წმინდა მიმდინარე ღირებულება წარმოადგენს  პროექტის ეკონომიკურ ხარჯებსა და ეკონომიკურ სარგებელს შორის სხვაობას, რომლებიც დისკონტირებულია მიმდინარე ღირებულებით. ეკონომიკური წმინდა მიმდინარე ღირებულება გამოითვლება  შემდეგი ფორმულით:

სადაც:

B – დადებითი ფულადი ნაკადები (ფინანსური და ეკონომიკური სარგებელი);

C – უარყოფითი ფულადი ნაკადები (ფინანსური და ეკონომიკური ხარჯები);

r – დისკონტირების განაკვეთი

t – დრო (წლებში).

შენიშვნა: ფინანსური და ეკონომიკური წმინდა მიმდინარე ღირებულება (NPV და ENPV) გამოითვლება ერთი და იგივე ფორმულით, იმ განსხვავებით, რომ ერთ შემთხვევაში გამოიყენება ფინანსური, ხოლო მეორე შემთხვევაში ფინანსური და ეკონომიკური მაჩვენებლები.

ბ.გ.ა.ბ) წმინდა ფულადი ნაკადების დისკონტირება –  მომავალი ხარჯების და სარგებელის დისკონტირება უნდა მოხდეს მიმდინარე ღირებულებით;

ბ.გ.ა.გ) ხარჯთ-სარგებლიანობის ანალიზში გადაწყვეტილების მიღების უპირატეს კრიტერიუმს წარმოადგენს ეკონომიკური წმინდა მიმდინარე ღირებულება (ENPV);

ბ.გ.ა.დ) პროექტი სიცოცხლისუნარიანია, თუ ეკონომიკური წმინდა მიმდინარე ღირებულება ნულზე მეტია, რაც იმას ნიშნავს, რომ სარგებლის მთლიანი დისკონტირებული ღირებულება უფრო მეტია, ვიდრე მთლიანი დისკონტირებული ხარჯი;

ბ.გ.ბ) ეკონომიკური შიდა უკუგების დონე (Economic Internal Rate of Return – EIRR) არის ისეთი დისკონტირების განაკვეთი, რომელიც პროექტის ფულადი ნაკადების (ფინანსურ და ეკონომიკურ სარგებელსა და ფინანსურ და ეკონომიკურ ხარჯებს შორის სხვაობა) პროგნოზების გათვალისწინებით, ნულოვან წმინდა მიმდინარე ღირებულებას (NPV) გვაძლევს;

ბ.გ.ბ.ა) პროექტის შესაფასებლად ეკონომიკური  შიდა  უკუგების  დონე  (EIRR)  უმეტეს  შემთხვევაში,  ხელშესახებ შედეგებს იძლევა, მაგრამ გასათვალისწინებელია, რომ:

ბ.გ.ბ.ბ) ზოგიერთ  კონკრეტულ  შემთხვევაში,  შეუძლებელია ისეთი დისკონტის განაკვეთის პოვნა, რომელიც ეკონომიკურ წმინდა მიმდინარე ღირებულებას (ENPV) ნულს გაუტოლებს;

ბ.გ.ბ.გ) შესაძლებელია არსებობდეს ერთზე მეტი დისკონტირების განაკვეთი, რომელიც ნულოვან ეკონომიკურ წმინდა მიმდინარე ღირებულებას (ENPV) მოგვცემს;

ბ.გ.ბ.დ) ეკონომიკური შიდა უკუგების დონე (EIRR) შეიძლება გამოყენებულ იქნეს სხვადასხვა მასშტაბის პროექტების შესადარებლად. ეკონომიკური შიდა უკუგების დონე (EIRR) უფრო რელევანტურია ურთიერთგამომრიცხავ პროექტებთან დაკავშირებით გადაწყვეტილების მიღებისას, ვიდრე ინდივიდუალური პროექტის და მისი ალტერნატივების ეკონომიკური სიცოცხლისუნარიანობის  შეფასებისას;

ბ.გ.გ) ხარჯთ-სარგებლიანობის კოეფიციენტი  (Benefit Cost Ratio – BCR) – თუ ხარჯთ-სარგებლიანობის კოეფიციენტი (BCR) ერთზე მეტია, პროექტის განხორციელების შედეგად მიღებული შემოსავალი აღემატება გაწეულ ხარჯებს, რაც დადებით ფაქტორად მიიჩნევა.

3. ამ მუხლის პირველი და მეორე პუნქტებით გათვალისწინებული ფინანსური და ეკონომიკური ხარჯთ-სარგებლიანობის ანალიზი (CBA) საშუალო და მსხვილი პროექტებისთვის უნდა მომზადდეს ამ მეთოდოლოგიის დანართი №2-ის შესაბამისად,  ხოლო მცირე პროექტებისთვის ფინანსური გაანგარიშებები – დანართი №3-ის შესაბამისად.

მუხლი 8. პროექტის შეფასების დამატებითი ეტაპი საჯარო და კერძო თანამშრომლობის შემთხვევაში

1. პროექტის შეფასების პროცესში, განმახორციელებელი უწყება განსაზღვრავს შესყიდვის ყველაზე მეტად მიზანშეწონილ მეთოდს, რაც მათ შორის შეიძლება მოიცავდეს საჯარო და კერძო თანამშრომლობის პროექტს, თუ მას გააჩნია შესყიდვის ამ მიდგომისთვის ხელსაყრელი მახასიათებლები.

2. თუ ეკონომიკური სუბიექტი განიხილავს შესყიდვის ვარიანტს საჯარო და კერძო თანამშრომლობის პროექტის შემთხვევაში, შეფასების ეტაპზე შემდგომი ნაბიჯები უნდა გადაიდგას ამ ვარიანტის მიზანშეწონილობის გასარკვევად. ამ მიზნისათვის განმახორციელებელმა უწყებებმა  რომლებიც საჯარო და კერძო თანამშრომლობის პროექტის შესყიდვის ვარიანტს განიხილავენ, უნდა იხელმძღვანელონ, საჯარო და კერძო თანამშრომლობის პროექტთან მიმართებაში არსებული კანონმდებლობითა და რეგულაციებით. მათ შორის უნდა შეაფასონ ხარისხის ფასთან ფარდობის (VFM) ანალიზი, საჯარო და კერძო თანამშრომლობის პროექტის ვარიანტის მიზანშეწონილობა, სახელმწიფო (ტრადიციულ) შესყიდვასთან შედარებით.

3. შესყიდვის შესაძლო ვარიანტების განხილვისას წინასწარი ტესტირების დროს სხვა ელემენტებთან ერთად უნდა შემოწმდეს შემდეგი:

ა) ფინანსური, სამშენებლო და ოპერაციული ხარჯების შეფასება შესყიდვების თითოეული ალტერნატიული მეთოდისთვის პროექტის მთელი სასიცოცხლო ციკლის განმავლობაში;

ბ) პოტენციური კერძო ინვესტორების მხრიდან მომსახურების მიწოდებაზე საკმარისი ინტერესის არსებობა და ბაზარზე არსებული კონკურენციის დონე;

გ) პროექტთან დაკავშირებული რისკების მკაფიო განსაზღვრა, შეფასება და სათანადო ტიპის რისკის გადაცემის შესაძლებლობა კერძო პარტნიორისთვის;

დ) კერძო პარტნიორისთვის სახელშეკრულებო გადახდების ნაწილის დაფარვის შესაძლებლობა საბოლოო მომხმარებლის გადახდილი თანხებიდან;

ე) პროექტის მასშტაბის შეფასება საჯარო და კერძო თანამშრომლობის პროექტთან დაკავშირებულ ოპერაციულ ხარჯებთან მიმართებაში.

4. თუ შესყიდვების ვარიანტის წინასწარი ტესტის შედეგები მიუთითებს, რომ მიზანშეწონილია საჯარო და კერძო თანამშრომლობის პროექტის შესყიდვის ვარიანტის განხორციელება,  უნდა გაგრძელდეს პროცესი  საჯარო და კერძო თანამშრომლობის მარეგულირებელი კანონმდებლობით.

მუხლი 9. პროექტის წინასწარი შეფასების პროცესში გადანაწილებული როლები, პასუხისმგებლობები და გადაწყვეტილების მიღება

1. პროექტის წინასწარი შეფასების ეტაპზე საპროექტო წინადადების ინიციატორი და განმხილველი არის შესაბამისი მხარჯავი დაწესებულება და მისი ის სტრუქტურული ერთეული ან საბიუჯეტო ორგანიზაცია, რომელიც პასუხისმგებელია შესაბამის სფეროში იდენტიფიცირებული პრობლემების გადაჭრის საკითხებზე. მხარჯავი დაწესებულების  ხელმძღვანელი პასუხისმგებელია ზედამხედველობა გაუწიოს პროექტის კონცეფციის ბარათის, ხარჯთ-სარგებლიანობის ანალიზის და ტექნიკურ-ეკონომიკური კვლევის (ასეთის არსებობის შემთხვევაში) მომზადების პროცესს, რომელშიც პროექტის პარამეტრები იქნება აღწერილი. კონცეფციის ბარათი,  ხარჯთ-სარგებლიანობის ანალიზი და  ტექნიკურ-ეკონომიკური კვლევის ანალიზი მზადდება მხარჯავი დაწესებულების საფინანსო-საბიუჯეტო სამსახურის[2] აქტიური ჩართულობით. მხარჯავი დაწესებულების ხელმძღვანელმა შესაძლოა საჭირო დოკუმენტების მომზადების პასუხისმგებლობის დელეგირება განახორციელოს მასზე დაქვემდებარებული სტრუქტურული ერთეულის ან საბიუჯეტო ორგანიზაციის ხელმძღვანელზე.

2. საფინანსო-საბიუჯეტო სამსახურების მიერ პროექტის შეფასების შემდეგ პროექტი წარედგინება მხარჯავი დაწესებულების  ხელმძღვანელს.

3. შესაბამისი მხარჯავი დაწესებულების  ხელმძღვანელი იღებს გადაწყვეტილებას პროექტის საქართველოს ფინანსთა სამინისტროსათვის წარდგენის თაობაზე, მას შემდეგ რაც განიხილავს პროექტების კონცეფციის ბარათს, ხარჯთ-სარგებლიანობის ანალიზს და პროექტის ტექნიკურ-ეკონომიკური კვლევის ანალიზს (ასეთის არსებობის შემთხვევაში), პროექტის განხორციელების სავარაუდო პერიოდში მისი დაფინანსების შესაძლებლობას.

4. მხარჯავი დაწესებულება ამზადებს ფინანსურ გაანგარიშებებს იმ ახალ საინვესტიციო/კაპიტალური პროექტებზე, რომლის ღირებულება ნაკლებია 5 მლნ ლარზე. აღნიშნული გაანგარიშებები მზადდება პროექტებისთვის მთელი სასიცოცხლო ციკლის განმავლობაში (როგორც საინვესტიციო ხარჯები, ასევე მიმდინარე ხარჯები), ამ პროექტების საბიუჯეტო განაცხადში გათვალისწინებამდე, ამ მეთოდოლოგიის დანართი №3-ის შესაბამისად. 

5.მხარჯავი დაწესებულება ამზადებს  შემდეგ ინფორმაციას:

ა) მცირე პროექტისთვის – სავალდებულოა ფინანსური გაანგარიშებების მომზადება, ამ მეთოდოლოგიის დანართი №3-ის შესაბამისად;

ბ) საშუალო პროექტისთვის – სავალდებულოა მომზადდეს:

ბ.ა) პროექტის კონცეფციის ბარათი – ამ მეთოდოლოგიის დანართი №1-ის შესაბამისად; ამასთან, სავალდებულო არ არის  ეკონომიკური გაანგარიშებების და მასთან დაკავშირებული ინფორმაციის შევსება, გარდა იმ შემთხვევისა, როდესაც აღნიშნული მოთხოვნილია საქართველოს ფინანსთა სამინისტროში შექმნილი სამუშაო ჯგუფის მიერ;

ბ.ბ) ხარჯთ-სარგებლიანობის ანალიზი – მხოლოდ ფინანსური გაანგარიშებები ამ მეთოდოლოგიის დანართი N2-ის შესაბამისად. ამასთან, საქართველოს ფინანსთა სამინისტროში შექმნილი სამუშაო ჯგუფის მოთხოვნის შემთხვევაში, ხარჯთ-სარგებლიანობის ანალიზი მზადდება სრულად (ფინანსური და ეკონომიკური გაანგარიშებები), დანართი N2-ის შესაბამისად.

გ) მსხვილი პროექტისთვის – სავალდებულოა მომზადდეს:

გ.ა) პროექტის კონცეფციის ბარათი – ამ მეთოდოლოგიის დანართი №1-ის შესაბამისად;

გ.ბ) ხარჯთ-სარგებლიანობის ანალიზი – ფინანსური და ეკონომიკური გაანგარიშებები, ამ მეთოდოლოგიის დანართი N2-ის შესაბამისად.

6. მხარჯავმა დაწესებულებამ ამ მუხლის მე-5 პუნქტით გათვალისწინებული ინფორმაცია საშუალო და მსხვილ პროექტებზე უნდა წარუდგინოს საქართველოს ფინანსთა სამინისტროს.

7. მხარჯავმა დაწესებულებამ ამ მუხლის მე-5 პუნქტით გათვალისწინებული ინფორმაცია მცირე პროექტებზე უნდა წარუდგინოს საქართველოს ფინანსთა სამინისტროს, მოთხოვნის შემთხვევაში.

8. სამუშაო ჯგუფის მიერ მიღებული გადაწყვეტილებით, პროექტის სპეციფიკიდან და მნიშვნელობიდან გამომდინარე, შესაძლებელია დამატებით მოთხოვნილ იქნეს ტექნიკურ-ეკონომიკური კვლევა, საშუალო და მსხვილი პროექტისთვის.

9. ამ მუხლის მე-8 პუნქტით გათვალისწინებულ შემთხვევაში, მხარჯავმა დაწესებულებამ, მომზადებული ტექნიკურ-ეკონომიკური კვლევა და ამ კვლევის შედეგებიდან გამომდინარე, განახლებული და დაზუსტებული კონცეფციის ბარათი და ხარჯთ-სარგებლიანობის ანალიზი უნდა წარუდგინოს სამუშაო ჯგუფს.

10. სამუშაო ჯგუფი იხილავს პროექტის კონცეფციის ბარათს, ხარჯთ-სარგებლიანობის ანალიზს და ტექნიკურ-ეკონომიკურ კვლევას (ასეთის არსებობის შემთხვევაში);

11. სამუშაო ჯგუფი პროექტთან დაკავშირებით წარმოდგენილი დოკუმენტაციის განხილვისას საჭიროებისამებრ:

ა) გამოითხოვს დამატებით ინფორმაციას მხარჯავი დაწესებულებისგან;

ბ) პროექტით წარმოდგენილი ალტერნატივების გარდა, ითხოვს  სხვა დამატებითი ალტერნატივის განხილვას;

გ) დაშვებების სისწორესთან მიმართებაში, მხარჯავ დაწესებულებასთან შეუთანხმებლობის შემთხვევაში ამზადებს ხარჯთ-სარგებლიანობის ანალიზის  ალტერნატიულ ვარიანტს;

დ) განსაზღვრავს ტექნიკური-ეკონომიკური ანალიზის მეთოდებს (ასეთის არსებობის შემთხვევაში);

ე) სამუშაო ჯგუფის მუშაობაში მონაწილეობისათვის იწვევს პროექტის ინიციატორ ან პროექტთან დაკავშირებული სხვა მხარჯავი დაწესებულების წარმომადგენელს ან/და დარგის ექსპერტს.

12. სამუშაო ჯგუფი პროექტების წინასწარ შეფასებაზე მუშაობის დასრულების შემდგომ, ამზადებს შემაჯამებელ ინფორმაციას სამუშაო ჯგუფის მიერ განხილული საინვესტიციო/კაპიტალური პროექტების შესახებ, რომელიც ამ პროექტებთან დაკავშირებული ძირითადი დაშვებებისა და ფინანსურ-ეკონომიკური გაანგარიშებების გარდა, მოიცავს პროექტების საბოლოო შერჩევის მიზნით შეფასების კრიტერიუმების შესაბამისად მინიჭებულ ქულებს, ასევე პროექტების წინასწარი შეფასების სამუშაო ჯგუფის პოზიციას:

ა) ვეთანხმები წარმოდგენილ პროექტს – პროექტი გადადის საინვესტიციო/კაპიტალური პროექტების მართვის შემდეგ ეტაპზე და აისახება ამ მეთოდოლოგიის მე-10 მუხლის პირველი პუნქტით გათვალისწინებულ დასკვნაში;

ბ) არ ვეთანხმები წარმოდგენილ პროექტს:

ბ.ა) მხარჯავი დაწესებულების თანხმობის შემთხვევაში, პროექტის განხილვა წყდება;

ბ.ბ) საქართველოს ფინანსთა სამინისტროსა და მხარჯავი დაწესებულებას შორის შეუთანხმებლობის შემთხვევაში, პროექტი გადადის საინვესტიციო/კაპიტალური პროექტების მართვის შემდეგ ეტაპზე, აისახება ამ მეთოდოლოგიის მე-10 მუხლის პირველი პუნქტით გათვალისწინებულ დასკვნაში და საბოლოო გადაწყვეტილებას პროექტის განხორციელების/არგანხორციელების თაობაზე იღებს ეკონომიკური საბჭო.

13. სამუშაო ჯგუფი პროექტის შესახებ შესაბამის სტატუსს ასახავს საინვესტიციო პროექტების მართვის რეესტრში, საინვესტიციო პროექტების მართვის ელექტრონული სისტემის (ePIMs) საშუალებით.

თავი III

პროექტის საბოლოო შერჩევა

მუხლი 10. პროექტის საბოლოო  შერჩევის პროცესში მეთოდოლოგიური მიდგომები, გადანაწილებული როლები, პასუხისმგებლობები და გადაწყვეტილების მიღება

1. სამუშაო ჯგუფი, საინვესტიციო/კაპიტალური პროექტების კონცეფციის ბარათის, ხარჯთ-სარგებლიანობის შეფასების და ტექნიკურ-ეკონომიკური კვლევის (ასეთის არსებობის შემთხვევაში) საფუძველზე აანალიზებს პროექტების დასაფინანსებლად საჭირო სახსრების მოცულობას, არსებულ ფისკალურ რესურსთან მიმართებაში და ამზადებს დასკვნას საინვესტიციო-კაპიტალური პროექტების შესახებ, რომელსაც წარუდგენს ეკონომიკურ საბჭოს.

2. ამ მუხლის პირველი პუნქტით გათვალისწინებული სამუშაო ჯგუფის მიერ მომზადებული საინვესტიციო-კაპიტალური პროექტების შესახებ დასკვნა მოიცავს შემდეგ ინფორმაციას:

ა) პროექტების რეესტრი;

ბ) პროექტების შესახებ მოკლე ინფორმაცია, რომელიც მოიცავს:

ბ.ა) პროექტის დასახელება;

ბ.ბ) პროექტის წარმომდგენი;

ბ.გ) პროექტის მოკლე აღწერა;

ბ.დ) პროექტის დაფინანსების წყარო;

ბ.ე) პროექტის ღირებულება;

ბ.ვ) შეფასების პერიოდი;

ბ.ზ) პროექტის ძირითადი ფინანსური და ეკონომიკური მაჩვენებლები (ალტერნატივების მიხედვით).

გ) პროექტების საბოლოო შერჩევის მიზნით შეფასების კრიტერიუმების შესაბამისად მინიჭებულ ქულები, სამუშაო ჯგუფის წინადადებები და რეკომენდაციები.

3. ამ მუხლის პირველი და მე-2 პუნქტების საფუძველზე ეკონომიკური საბჭო იღებს გადაწყვეტილებას პროექტის განხორციელების/არგანხორციელების შესახებ.

4. თუ ეკონომიკური საბჭო საბოლოო შერჩევისათვის წარდგენილ პროექტზე გასცემს დადებით დასკვნას, პროექტი გადადის ამ მეთოდოლოგიით გათვალისწინებულ შემდეგ ეტაპზე.

5. თუ ეკონომიკური საბჭო საბოლოო შერჩევისათვის წარდგენილ პროექტზე გასცემს უარყოფით დასკვნას, პროექტის განხილვა წყდება.

6. სამუშაო ჯგუფი უზრუნველყოფს საინვესტიციო პროექტების რეესტრში პროექტის სტატუსის განახლებას, საინვესტიციო პროექტების მართვის ელექტრონული სისტემის (ePIMs) მეშვეობით.

თავი IV

პროექტის ასახვა ბიუჯეტში

მუხლი 11. პროექტის ბიუჯეტსა და საშუალოვადიან გეგმებში ასახვის არსი და მიზანი

1. პროექტების ბიუჯეტში ასახვის ეტაპის მიზანია იმ პროექტების შერჩევა, რომლებიც დაფინანსდება კონკრეტული საშუალოვადიანი პერიოდის შესაბამისი ბიუჯეტიდან.

2. ეკონომიკური საბჭოს მიერ დადებითი გადაწყვეტილების მიღების შემდეგ,  საქართველოს მთავრობის მიერ საინვესტიციო/კაპიტალური პროექტები აისახება ქვეყნის ძირითადი მონაცემების და მიმართულებების დოკუმენტში და შესაბამისი წლის ბიუჯეტში. ქვეყნის ძირითადი მონაცემების და მიმართულებების დოკუმენტი  ასევე მოიცავს აღნიშნული საინვესტიციო/კაპიტალური პროექტების ჩამონათვალს.

3. მცირე და საშუალო საინვესტიციო/კაპიტალური პროექტები მიმართულებების მიხედვით შესაძლებელია, განხორციელდეს ერთი პროგრამული კოდის ფარგლებში. ამასთან, მსხვილი საინვესტიციო/კაპიტალური პროექტები ცალკე პროგრამულ კოდებად არის გამოყოფილი შესაბამის ბიუჯეტში და აისახება „საინვესტიციო/კაპიტალური პროექტების შესახებ“ დანართში, გარდა დონორის მიერ დაფინანსებული საინვესტიციო პროექტებისა, რომლებიც ხორციელდება ერთი პროგრამული კოდის ფარგლებში და დონორთან გაფორმებული ხელშეკრულების შესაბამისად შესაძლებელია მოიცავდეს ერთზე მეტ საინვესტიციო პროექტს.

4. იმ საინვესტიციო/კაპიტალური პროექტების ჩამონათვალი, რომლებიც აკმაყოფილებენ დაფინანსების მოთხოვნებს, შეიძლება პერიოდულად განახლდეს წლის განმავლობაში წინასწარი შეფასების და საბოლოო შერჩევის პროცესის შესაბამისად და აისახოს ქვეყნის ძირითადი მონაცემებისა და მიმართულებების დოკუმენტის გადამუშავებულ და საბოლოო ვერსიებში.

5. მხარჯავი დაწესებულება საკუთარი საშუალოვადიანი სამოქმედო გეგმების და შესაბამისი წლის საბიუჯეტო განაცხადის საბოლოო ვერსიაში ასახავს მხოლოდ იმ საინვესტიციო/კაპიტალური პროექტების ჩამონათვალს, რომლებიც ასახულია ქვეყნის ძირითადი მონაცემების და მიმართულებების დოკუმენტში.

6. იმ პროექტის დაფინანსება, რომლისთვისაც რესურსის მოძიება შესაძლებელია პროექტის საბოლოო შერჩევისთანავე (მაგ: შესაბამისი წლის ბიუჯეტში არსებული ეკონომიით ან დამატებითი რესურსით) და ჯერ ასახული არ არის ქვეყნის ძირითადი მონაცემების და მიმართულებების დოკუმენტით მოწონებულ ნუსხაში, შესაძლებელია, განხორციელდეს საქართველოს კანონმდებლობით დადგენილი წესით. ასეთი პროექტი ქვეყნის ძირითადი მონაცემების და მიმართულების დოკუმენტში საინვესტიციო/კაპიტალური პროექტების ჩამონათვალში აისახება, დოკუმენტის შემდგომი განახლებისას.

მუხლი 12. პროექტის ბიუჯეტსა და საშუალოვადიან გეგმებში ასახვის პროცესში გადანაწილებული როლები, პასუხისმგებლობები და გადაწყვეტილების მიღება

პროექტის ბიუჯეტსა და საშუალოვადიან გეგმებში ასახვის პროცესში როლები და პასუხისმგებლობები განისაზღვრება საქართველოს საბიუჯეტო კოდექსითა და საჯარო ფინანსების მართვის მარეგულირებელი კანონმდებლობით. საინვესტიციო/კაპიტალური პროექტებთან დაკავშირებული დეტალური ინფორმაცია აისახება შესაბამისი საშუალოვადიანი პერიოდის კაპიტალური პროექტების დანართში.

თავი V

პროექტის განხორციელება და მონიტორინგი

მუხლი 13. პროექტის განხორციელების ძირითადი დებულებები

1. საინვესტიციო/კაპიტალური პროექტები ხორციელდება საქართველოს „სახელმწიფო შესყიდვების შესახებ“ საქართველოს კანონის  და საქართველოს კანონმდებლობის შესაბამისად.

2. დონორების დაფინანსებული პროექტების ან საერთაშორისო ტენდერის შემთხვევაში პროექტი ხორციელდება დონორებთან შეთანხმებული პროცედურებით.

მუხლი 14. პროექტის მონიტორინგი და ამ პროცესში გადანაწილებული როლები და პასუხისმგებლობები

1. საინვესტიციო/კაპიტალური პროექტების სტატუსის შესახებ უნდა განხორციელდეს პერიოდული (კვარტალური და წლიური) ანგარიშგება პროექტზე პასუხისმგებელ შესაბამის ორგანოსთან აღნიშნული შესრულების ანგარიშების მიხედვით.

2. პროექტების შესრულების ანგარიშები უნდა მოიცავდეს არანაკლებ შემდეგ ინფორმაციას:

ა) პროექტის დასახელება;

ბ) პროექტის დაწყების თარიღი;

გ) პროექტის დასრულების სავარაუდო თარიღი;

დ) შესრულებული სამუშაოების პროცენტული მაჩვენებელი;

ე) დაფინანსების წყარო;

ვ) დაგეგმილი ბიუჯეტი და გაწეული ხარჯი;

ზ) განმარტებები პროექტის გადავადების, დაგეგმილზე მეტი ან ნაკლები ხარჯის გაწევის, დაფინანსების და მშენებლობასთან დაკავშირებული საკითხების და აღნიშნულის გათვალისწინებით დაგეგმილი ღონისძიებების შესახებ.

3. სახელმწიფო ბიუჯეტიდან დაფინანსებული პროექტების შესახებ ანგარიშგება წარმოებს საბიუჯეტო კოდექსით ბიუჯეტის შესრულების ანგარიშგებისათვის განსაზღვრული მოთხოვნების გათვალისწინებით და დადგენილ ვადებში და შესრულების კვარტალურ და წლიურ ანგარიშებთან ერთად წარედგინება საქართველოს პარლამენტს.

4. ავტონომიური რესპუბლიკების და მუნიციპალიტეტების მიერ განსახორციელებელი პროექტების შესახებ ანგარიშგება წარმოებს საბიუჯეტო კოდექსით განსაზღვრული მოთხოვნების გათვალისწინებით და დადგენილ ვადებში და შესრულების კვარტალურ და წლიურ ანგარიშებთან ერთად წარედგინება შესაბამის წარმომადგენლობით ორგანოს.

5. ავტონომიური რესპუბლიკების და მუნიციპალიტეტების მიერ განსახორციელებელი პროექტების შესახებ წლიური ანგარიში,  ამ მუხლის მე-2 პუნქტით გათვალისწინებული ინფორმაციის შესაბამისად წარედგინება საქართველოს ფინანსთა სამინისტროს წლის დასრულებიდან 2 თვის ვადაში;

6. საქართველოს ფინანსთა სამინისტრო, სამუშაო ჯგუფის ფორმატში იხილავს ამ მუხლის პირველი – მე-5 პუნქტების საფუძველზე მიღებულ ინფორმაციას და საჭიროებისამებრ უფლებამოსილია შემაჯამებელი ანგარიში წარუდგინოს ეკონომიკურ საბჭოს.

7. პროექტების შესრულების შესახებ ანგარიში საქართველოს ფინანსთა სამინისტროს მიერ ეკონომიკურ საბჭოს წარედგინება, იმ შემთხვევაში თუ სამუშაო ჯგუფი პროექტის შესრულების დინამიკიდან გამომდინარე, ავლენს პროექტის განხორციელების გრაფიკში მნიშვნელოვან ჩამორჩენას ან ხედავს პროექტის განხორციელებაში სხვა ტიპის მნიშვნელოვან რისკებს, მათ შორის პროექტის განხორციელების პროცესში არსებულ გამოწვევებს და გარემოებებს,  რაც შესაძლებელია მომავალში გათვალიწინებული იქნეს სხვა პროექტების შეფასების და შერჩევის პროცესში.

8. ამ მუხლის მე-7 პუნქტის საფუძველზე მიღებული ინფორმაციის განხილვის შედეგად, ეკონომიკურმა საბჭომ შესაძლებელია იმსჯელოს და მიიღოს გადაწყვეტილება პროექტის განხორციელების შემდგომი ეტაპების შესახებ.

თავი VI

პროექტის შედეგების შეფასება

მუხლი 15. შედეგების შეფასების არსი და ძირითადი დებულებები

1. პროექტის შედეგების შეფასება – ფასდება პროექტის მიზნების მიღწევა გამოყენებული რესურსების და გარემოზე გავლენის კუთხით.

2. პროექტის შედეგების შეფასების მიზნებია:

ა) გამჭვირვალობის ზრდა იმის ჩვენებით, თუ რამდენად ეფექტიანად მოხდა ინვესტირება და სახელმწიფო ფინანსების გამოყენება ფინანსურ, ეკონომიკურ, გარემოს და სოციალურ მიზნებთან მიმართებაში (მათ შორის, გენდერული და კლიმატის ცვლილების გავლენის შეფასება);

ბ) ეფექტიანობის გაზომვა – ფაქტობრივი შედეგების შედარება ხდება პროგნოზებთან ან მიღწევების შედარება ხდება დასახულ მიზნებთან იმისათვის, რომ გაიზომოს პროექტის სარგებელი;

გ) შემდგომში წინასწარი შეფასების გასაუმჯობესებლად გასათვალისწინებელი გარემოებები – პროექტის შედეგების შეფასებისთვის მნიშვნელოვანია წინასწარი შეფასების ეტაპზე არსებული ინფორმაციის ანალიზი, იმისათვის, რომ გაირკვეს წინასწარი პროგნოზების დამტკიცებამდე იყო თუ არა პროექტის განხორციელება ადეკვატური, ინვესტიციების განხორციელების თაობაზე გადაწყვეტილების მისაღებად. აღნიშნული საშუალებას იძლევა, განისაზღვროს პროექტის შეფასების ხარისხის გასაუმჯობესებლად განსახორციელებელი დამატებითი ღონისძიებები;

დ) მსგავს განხორციელებულ პროექტებზე ინფორმაციის შეგროვება შესაბამისი პროგნოზების განსაზღვრისთვის და წინასწარი შეფასების უფრო ზუსტი ანალიზის წახალისების უზრუნველყოფა, პროექტის რეალური შედეგების გამჭვირვალობის გზით.

3. პროექტის შედეგების შეფასების არსი არ არის პროექტის დაგეგმილთან შედარებით გადახრების აღმოჩენა. მთავარია გადახრების ძირითადი მიზეზების და პროექტის შედეგების შეფასების რეალური მიზნების გათვალისწინება. პროექტის შედეგების შეფასების ეტაპზე იდენტიფიცირებული გადახრები შესაძლებელია მიუთითებდეს იმას, რომ პროექტის სასიცოცხლო ციკლის საწყის ეტაპებზე არ გამახვილდა სათანადო ყურადღება სავარაუდო გაუთვალისწინებელ გავლენებზე (იგულისხმება გარე და ნაწილობრივ შიდა გაუთვალისწინებელი ფაქტორები).  შესაძლებელია გადახრები გამოწვეული იყოს პროექტის დიზაინთან, არასწორ ინფორმაციასთან, არაეფექტური გადაწყვეტილებების მიღებასთან და სხვა ზოგად საკითხებთან.

მუხლი 16. პროექტის შედეგების შეფასების საფეხურები

პროექტის შედეგების შეფასება შედგება  შემდეგი საფეხურებისგან:

ა) დაგეგმვის პროცესის შეფასება – მნიშვნელოვანია რომ მოხდეს პროექტების წინასწარი შეფასების და დაგეგმვის პროცესის შეფასება. რთულია იმის განსაზღვრა კონკრეტულად რომელი ანალიზი ეხმარება გადაწყვეტილების მიღებას პროექტის წინასწარი შეფასების დროს. როდესაც პროექტთან დაკავშირებული დოკუმენტაცია არ არის ხელმისაწვდომი ან არასრულია, ასევე, წინასწარი შეფასების შედეგებთან და ზოგადად დაგეგმვის დოკუმენტებთან მიმართებაში ოფიციალური დოკუმენტაციის ნაკლებობის შემთხვევაში, რთულდება პროექტის შედეგების შეფასების გამჭვირვალე ანალიზი;

ბ) პროექტის საბოლოო შედეგის გაზომვა – პროექტის შემდგომი შეფასების მიზნით, პროექტის შესრულების შესახებ ინფორმაციის მოპოვება ხარჯებთან არის დაკავშირებული, ამიტომ მნიშნელოვანია ძირითად ინდიკატორებზე გამახვილდეს ყურადღება და გამოყენებულ იქნეს სტანდარტული მიდგომები. რიგ შემთხვევაში ზოგიერთი პროექტის მნიშვნელოვანი გავლენა შესაძლებელია არ იყოს გათვალისწინებული ამოცანებში და საჭიროა მოხდეს ასეთი საკითხების გათვალისწინება პროექტის შედეგების შეფასების დროს, თუ არის შესაძლებელი. პროექტის წინასწარ და საბოლოო შეფასებას შორის განსხვავებებზე ინფორმაციის მოსაპოვებლად ეფექტური საშუალებაა შესაბამის ექსპერტებთან ინტერვიუ;

გ) პროექტის მოსალოდნელ შედეგსა და მიღებულ შედეგს შორის განსხვავებები – მოსალოდნელ შედეგსა და მიღებულ შედეგს შორის განსხვავების არსებობა და მით უფრო ამ განსხვავებებთან დაკავშირებით მიზეზების გარკვევა ხშირ შემთხვევაში არარეალურია, იქიდან გამომდინარე, რომ დაგეგმილი შედეგი უმეტეს შემთხვევაში ვერ იქნება მიღებული შედეგის იდენტური. იმ შემთხვევაშიც კი, როცა განსხვავება ცოტაა, არ ნიშნავს, რომ ამის მიზეზი კარგად დაგეგმილი და განხორციელებული პროექტია, არამედ შესაძლებელია პროექტის საბოლოო შედეგს განაპირობებდეს გარე გაუთვალისწინებელი რაიმე ფაქტორი;

დ) ალტერნატივების ანალიზი – ანალიზი ეყრდნობა პროექტის შემდგომ შეფასებას, შედეგის დადგომით გამოწვეული მდგომარეობის ანალიზს შედეგის დადგომამდე არსებულ სიტუაციასთან მიმართებაში. წინასწარ შეფასებასა და შემდგომ შეფასებას შორის განსხვავების შესწავლა მნიშვნელოვანია პროექტის სრულყოფილი ანალიზისთვის. შესაძლებელია, რომ ანალიზში არ იყოს წარმოდგენილი ზოგიერთი პროექტი, რომელიც განხორციელდა და პირიქით იყოს განხილული პროექტი, რაც არ განხორციელდა და მოხდეს მისი ანალიზი და შედეგების განხილვა;

ე) შიდა და გარე ფაქტორების განსაზღვრა – მნიშვნელოვანია, მოხდეს შესწავლა რა გავლენა მოახდინა შიდა და გარე ფაქტორებმა  წინასწარ და შემდგომ შეფასებებს შორის განსხვავებებზე. ხორციელდება შიდა და გარე ფაქტორებით გამოწვეული ეფექტის ანალიზი, რომელიც შესაძლებელია არ დამდგარიყო, რომ არ განხორციელებულიყო პროექტი ან ეფექტი, რომელიც დადგებოდა პროექტის განუხორციელებლობის შედეგად. ამ პროცესში პროექტის შესაფასებლად შესაძლებელია ჩართულ მხარეებთან ინტერვიუების საშუალებით მოხდეს ცვლილებებთან დაკავშირებული საკითხების უფრო დეტალურად გარკვევა;

ვ) ხარჯების შეფასება – პროექტების შემდგომი შეფასების ერთ-ერთი ყველაზე მნიშვნელოვანი საფეხურია. ხორციელდება ხარჯების შედგენის მეთოდებისა და მოსალოდნელ და ფაქტობრივ ხარჯს შორის არსებული განსხვავებების  მიზეზების შესწავლა. გათვალისწინებული უნდა იქნეს შემდეგი ძირითადი ფაქტორები: განხორციელების დაგვიანებული ვადები, პროექტის სპეციფიკაციებისა და დიზაინის, ვალუტის კურსის, რაოდენობისა და ფასების, უსაფრთხოების მოთხოვნების, ასევე გარემო ფაქტორების მოთხოვნების ცვლილება, გეოლოგიური და ტექნოლოგიური რისკები (მათ შორის, კლიმატის ცვლილებასთან დაკავშირებული რისკები);

ზ) პროექტის შეფასება – პროექტის წინასწარი შეფასების დროს გადაწყვეტილების მიღებისას მოსალოდნელ შედეგსა და დაკვირვების შედეგს შორის განსხვავებების ანალიზი, რაც მოიცავს პროექტის განვითარებისა და განხორციელების ანალიზს, სადაც ყურადღება უნდა გამახვილდეს განხორციელების პროცესის სუსტ და ძლიერ მხარეებზე. ამ პროცესში შესაძლებელია გამოიკვეთოს, რომ შედარებით „უკეთესი“ ამოცანები არ განხორციელდა. ასევე, გარემოზე ზემოქმედებასთან მიმართებაში ხორციელდება პროექტის შეფასება, თუ ითამაშა პროექტმა პროაქტიული როლი პროექტის დანერგვის პროცესში დაფინანსების გათვალისწინებით, რაც შესაძლებელია შესწავლილ იქნეს ჩართული მხარეების, ასევე საზოგადოებასთან კონსულტაციების შედეგად (მათ შორის, გენდერული უთანასწორობის გავლენა);

თ) ინვესტიციების ეფექტიანობის გაზომვა – პროექტის გავლენა ეკონომიკურ კეთილდღეობაზე დაგეგმილ და მიღწეულ შედეგებთან მიმართებაში. ამ საფეხურზე ფაქტობრივი შედეგების და ხარჯების გათვალისწინებით ხელახლა ხდება ფაქტობრივი შესრულების ეკონომიკური ინდიკატორების გამოთვლა (NPV და IRR), რომ მოხდეს მოსალოდნელ შედეგებთან შედარება.

მუხლი 17. პროექტის შედეგების შეფასება, როლები და პასუხისმგებლობების განაწილება

1. საინვესტიციო პროექტის დასრულებიდან არაუგვიანეს შემდგომი 2 საბიუჯეტო წლის გასვლიდან 2 თვის ვადაში, მხარჯავი დაწესებულება საქართველოს ფინანსთა სამინისტროს წარუდგენს ანგარიშს შედეგების შეფასების თაობაზე.

2. საქართველოს ფინანსთა სამინისტრო სამუშაო ჯგუფის ფორმატში იხილავს  მიღებულ დოკუმენტაციას და საჭიროებისამებრ გამოითხოვს დამატებით ინფორმაციას.

3. პროექტის სპეციფიკის გათვალისწინებით, პროექტის ეფექტურობის შესაფასებლად შესაძლებელია, საქართველოს ფინანსთა სამინსიტროს მიერ მხარჯავ დაწესებულებას განესაზღვროს დამატებითი ვალდებულება, პროექტის ეფექტურობის შეფასების ანგარიშის წარმოსადგენად, მაგრამ არა უგვიანეს პროექტის დასრულებიდან შემდგომი 5 საბიუჯეტო წლის გასვლიდან 2 თვის ვადაში.

4. საქართველოს ფინანსთა სამინისტრო, საჭიროებისამებრ უფლებამოსილია,  შემჯამებელი ანგარიში წარუდგინოს ეკონომიკურ საბჭოს.

5. პროექტების შედეგების შეფასების ანგარიში საქართველოს ფინანსთა სამინისტროს მიერ ეკონომიკურ საბჭოს წარედგინება, იმ შემთხვევაში, თუ სამუშაო ჯგუფი შემაჯამებელი ანგარიშის ფარგლებში გამოავლენს ფაქტორებს, რომლებსაც შესაძლოა, მნიშვნელოვანი გავლენა ჰქონდეთ მიმდინარე და დაგეგმილი პროექტების შესრულების ხარისხზე.

6. ამ მუხლის მე-5 პუნქტის საფუძველზე მიღებული ინფორმაციის განხილვის შედეგად, ეკონომიკურმა საბჭომ შესაძლებელია, იმსჯელოს და მოამზადოს რეკომენდაცია საინვესტიციო/კაპიტალური პროექტების მართვის პროცესში ცალკეული რეგულაციების დაზუსტების და/ან ამ პროცესების სისტემური განახლების თაობაზე.



[1] „საქართველოს საბიუჯეტო კლასიფიკაციის დამტკიცების თაობაზე“ საქართველოს ფინანსთა მინისტრის 2019 წლის 5 აპრილის №99 ბრძანება.

[2] საფინანსო-საბიუჯეტო სამსახური – საქართველოს ფინანსთა მინისტრის 2011 წლის 8 ივლისის №385 ბრძანებით დამტკიცებული „პროგრამული ბიუჯეტის შედგენის მეთოდოლოგიის“ შესაბამისად