,,ელექტროენერგიის განაწილების ლიცენზიატის მიერ მომხმარებელთა ელექტრომომარაგების საიმედოობის მაჩვენებელთა მონიტორინგის ინსტრუქციის“ დამტკიცების შესახებ“

,,ელექტროენერგიის განაწილების ლიცენზიატის მიერ მომხმარებელთა ელექტრომომარაგების საიმედოობის მაჩვენებელთა მონიტორინგის ინსტრუქციის“ დამტკიცების შესახებ“
დოკუმენტის ნომერი 9
დოკუმენტის მიმღები საქართველოს ენერგეტიკის მარეგულირებელი ეროვნული კომისია
მიღების თარიღი 04/06/2009
დოკუმენტის ტიპი საქართველოს ენერგეტიკის მარეგულირებელი ეროვნული კომისია
გამოქვეყნების წყარო, თარიღი სსმ, 71, 12/06/2009
ძალის დაკარგვის თარიღი 01/07/2019
სარეგისტრაციო კოდი 300.280.000.16.009.013.163
კონსოლიდირებული პუბლიკაციები
9
04/06/2009
სსმ, 71, 12/06/2009
300.280.000.16.009.013.163
,,ელექტროენერგიის განაწილების ლიცენზიატის მიერ მომხმარებელთა ელექტრომომარაგების საიმედოობის მაჩვენებელთა მონიტორინგის ინსტრუქციის“ დამტკიცების შესახებ“
საქართველოს ენერგეტიკის მარეგულირებელი ეროვნული კომისია
თქვენ უყურებთ დოკუმენტის პირველად სახეს
დოკუმენტის კონსოლიდირებული ვარიანტის ნახვა ფასიანია, აუცილებელია სისტემაში შესვლა და საჭიროების შემთხვევაში დათვალიერების უფლების ყიდვა, გთხოვთ გაიაროთ რეგისტრაცია ან თუ უკვე რეგისტრირებული ხართ, გთხოვთ, შეხვიდეთ სისტემაში

პირველადი სახე (12/06/2009 - 26/08/2016)

სახელმწიფო სარეგისტრაციო კოდი

300.280.000.16.009.013.163

საქართველოს ენერგეტიკისა და წყალმომარაგების მარეგულირებელი ეროვნული

 კომისიის დადგენილება №9

2009 წლის 4 ივნისი

ქ. ქუთაისი

„ელექტროენერგიის განაწილების ლიცენზიატის მიერ მომხმარებელთა ელექტრომომარაგების საიმედოობის მაჩვენებელთა მონიტორინგის ინსტრუქციის“ დამტკიცების შესახებ

ელექტროენერგიის განაწილების ლიცენზიატის მიერ მომხმარებელთა ელექტრომომარაგების საიმედოობის მაჩვენებელთა მონიტორინგის მიზნით „ელექტროენერგეტიკისა და ბუნებრივი გაზის შესახებ“ საქართველოს კანონის 36-ე მუხლის მე-3 პუნქტის „დ“ ქვეპუნქტის საფუძველზე, საქართველოს ენერგეტიკისა და წყალმომარაგების მარეგულირებელმა ეროვნულმა კომისიამ დაადგინა:

1. დამტკიცდეს „ელექტროენერგიის განაწილების ლიცენზიატის მიერ მომხმარებელთა ელექტრომომარაგების საიმედოობის მაჩვენებელთა მონიტორინგის ინსტრუქცია“ თანდართულ დანართებთან ერთად.

2. ეს დადგენილება ამოქმედდეს გამოქვეყნებისთანავე.

თავმჯდომარე      გ. ჩალაგაშვილი

ელექტროენერგიის განაწილების ლიცენზიატის მიერ მომხმარებელთა ელექტრომომარაგების საიმედოობის მაჩვენებელთა მონიტორინგის

ი ნ ს ტ რ უ ქ ც ი ა

თავი I

ზოგადი დებულებები

    მუხლი 1. ინსტრუქციის მიზანი და მოქმედების სფერო

1. ელეტროენერგიის განაწილების ლიცენზიატის (შემდგომში – ლიცენზიატი) მიერ მომხმარებელთა ელექტრომომარაგების საიმედოობის მაჩვენებელთა მონიტორინგის ინსტრუქციის (შემდგომში – ინსტრუქცია) მიზანს წარმოადგენს, ლიცენზიატის მიერ მომხმარებელთა უწყვეტი ელექტროენერგიით მომარაგების უზრუნველყოფის მიზნით, ამ ინსტრუქციით განსაზღვრული საიმედოობის მაჩვენებელთა გაუმჯობესება.

2. ეს ინტრუქცია ადგენს ერთიან წესს და მოთხოვნებს შემდეგ საკითხებში:

ა) ლიცენზიატის მიერ ელექტრომომარაგების საიმედოობის შესახებ ინფორმაციის რეგისტრაცია;

ბ) ლიცენზიატის მიერ ელექტრომომარაგების საიმედოობის შესახებ ინფორმაციის წარდგენა საქართველოს ენერგეტიკისა და წყალმომარაგების მარეგულირებელ ეროვნულ კომისიაში (შემდგომში – კომისია);

გ) ელექტრომომარაგების საიმედოობის შესახებ ლიცენზიატის მიერ კომისიაში წარდგენილი ანგარიშის მონაცემთა გაანალიზება და შემოწმება კომისიის მიერ.

    მუხლი 2. ტერმინთა განმარტებები

1. ინსტრუქციაში გამოყენებულ ტერმინებს აქვს იგივე მნიშვნელობა, რაც „ელექტროენერგეტიკისა და ბუნებრივი გაზის შესახებ“ საქართველოს კანონში.

2. ინსტრუქციაში გამოყენებულ სხვა ტერმინებს გააჩნია შემდეგი მნიშვნელობა:

ა)ელექტრომომარაგების წყვეტა (შემდგომში – წყვეტა) – შემთხვევა (მდგომარეობა), რომლის დროსაც ძაბვა მომხმარებლის მიერთების წერტილებში ნომინალური ძაბვის 1%-ზე დაბალია. განიხილება წყვეტის შემდეგი სახეები: გეგმური და არაგეგმური (შემთხვევითი), ხანმოკლე და ხანგრძლივი;

ბ) გეგმური წყვეტა (წყვეტა წინასწარი შეტყობინებით) – ელექტრომომარაგების წყვეტა, რის შესახებაც მომხმარებლები წინასწარ არიან ინფორმირებულნი;

გ) არაგეგმური (შემთხვევითი) წყვეტა – ელექტრომომარაგების წყვეტა, რის შესახებაც მომხმარებლები წინასწარ არ არიან ინფორმირებულნი;

დ) ხანგრძლივი წყვეტა – ელექტროენერგიით მომარაგების გეგმური ან არაგეგმური წყვეტა, რომლის ხანგრძლივობა 3 წუთს აღემატება;

ე) ხანმოკლე წყვეტა – ელექტროენერგიით მომარაგების არაგეგმური წყვეტა, რომლის ხანგრძლივობა ტოლია ან ნაკლებია 3 წუთზე;

ვ) წყვეტის დასაწყისი – ლიცენზიატის პერსონალისგან ან მომხმარებლისგან ელექტრომომარაგების წყვეტის შესახებ პირველი შეტყობინების შემოსვლის დრო;

ზ) წყვეტის დასასრული – მომხმარებელთათვის ელექტროენერგიის მიწოდების აღდგენის დრო;

თ) ქსელის ელემენტის უმოქმედობა – სიტუაცია, რომლის დროსაც ელექტრული ქსელის ელემენტის (მოწყობილობის) უმოქმედობის შედეგად ხდება ქსელში ავარიის გავრცელება;

ი) გამორთვა – გადაცემის ან/და განაწილების ქსელში ძირითადი კომპონენტის მწყობრიდან გამოსვლა. მაგალითად, ტრანსფორმატორის ან გადამცემი ხაზის გამორთვა;

კ) ფორსმაჟორი (დაუძლეველი ძალა) – ისეთი მოვლენა ან გარემოება, რომელსაც ლიცენზიატი ვერ აკონტროლებს და რომლის გამოც ლიცენზიატი ვერ ასრულებს თავის მოვალეობებს;

ლ) ელექტროენერგიის გადაცემის ქსელი (ეგქ) – ელექტროენერგიის გადაცემის ლიცენზიატთა მფლობელობაში არსებული ელექტრული ქსელი;

მ) მაღალი ძაბვა (მძ) – ძაბვის დონე 35 კვ > და < 110 კვ; (ამ ინსტრუქციის მიზნებისათვის);

ნ) საშუალო ძაბვა (სძ) – ძაბვის დონე 1კვ > და < 35 კვ;

ო) დაბალი ძაბვა (დძ) – ძაბვის დონე < 1 კვ (ამ ინსტრუქციის მიზნებისათვის 380/220ვ);

პ) ნომინალური ძაბვა – სახელმწიფო სტანდარტით დადგენილი ელექტრული ქსელის ძაბვის დონე, რომელიც უზრუნველყოფს ელექტროენერგიის წარმოებისა და მოხმარების დანადგარების ნორმალურ მუშაობას და იძლევა საუკეთესო ეკონომიკურ ეფექტს;

ჟ) გარე მიზეზები – ელექტროენერგიის მიწოდების წყვეტა მესამე მხარეებისაგან:ელექტროსადგურებიდან, გადაცემის ქსელიდან, განაწილების სხვა ლიცენზიატებისაგან, დაზიანება მომხმარებელთა მხრიდან;

რ) შიდა მიზეზები – ელექტროენერგიის წყვეტა, რომელზეც პასუხისმგებლობა ეკისრება ლიცენზიატს და რომელიც არ არის განპირობებული ფორსმაჟორული (დაუძლეველი ძალით) და გარე მიზეზებით.

თავი II

წყვეტების რეგისტრაციასთან დაკავშირებული მოთხოვნები

    მუხლი 3. წყვეტების რეგისტრაცია

1. ლიცენზიატმა უნდა აწარმოოს მის მფლობელობაში არსებული ელექტრული ქსელებით ყველა კატეგორიის მომხმარებლისათვის ელექტროენერგიის მიწოდების წყვეტების აღრიცხვის ჟურნალი, მათ შორის, ელექტრონული ფორმითაც.

2. აღრიცხვის ჟურნალი უნდა შეიცავდეს ხანგრძლივი წყვეტის (> 3 წთ.) ყოველ შემთხვევასთან დაკავშირებულ შემდეგ ინფორმაციას:

ა) წყვეტის საიდენტიფიკაციო ნომერი;

ბ) წყვეტის წარმოქმნის ადგილი;

გ) წყვეტის რეგისტრაციის საშუალება (მეთოდი);

დ) წყვეტის ტიპი (გეგმური, არაგეგმური);

ე) ინფორმაცია გეგმურ წყვეტასთან დაკავშირებით მომხმარებელთა ინფორმირების თაობაზე;

ვ) წყვეტის მიზეზი (ფორსმაჟორი, გარე, შიდა)

ზ) წყვეტის დასაწყისის თარიღი, საათი, წუთი;

თ) წყვეტის შედეგად გათიშულ მძ-ის მომხმარებელთა რაოდენობა და ნუსხა;

ი) მძ-ის ყოველი მომხმარებლის გათიშვის ხანგრძლივობა;

კ) წყვეტის შედეგად გათიშულ სძ-ის მომხმარებელთა რაოდენობა და ნუსხა, რომელიც დაჯგუფებულია მომხმარებელთა განსახლების სიმჭიდროვის დონეების მიხედვით;

ლ) მომხმარებელთა განსახლების სიმჭიდროვის დონეების მიხედვით დაჯგუფებული სძ-ის ყოველი მომხმარებლის გათიშვის ხანგრძლივობა;

მ) წყვეტის შედეგად გათიშული სძ/დძ ტრანსფორმატორების რაოდენობა (გარდა დძ ქსელში ცალკეული ელემენტების წყვეტებისა), რომელიც დაჯგუფებულია მომხმარებელთა განსახლების სიმჭიდროვის დონეების მიხედვით;

ნ) დძ ქსელებში წყვეტის შედეგად გათიშული დძ ხაზების რაოდენობა, რომელიც დაჯგუფებულია მომხმარებელთა განსახლების სიმჭიდროვის დონეების მიხედვით;

ო) წყვეტის შედეგად გათიშულ დძ-ის მომხმარებელთა რაოდენობა, რომელიც დაჯგუფებულია მომხმარებელთა განსახლების სიმჭიდროვის დონეების მიხედვით;

პ) წყვეტის შედეგად გათიშული ყველა მომხმარებლისთვის ელექტროენერგიის მიწოდების აღდგენის თარიღი, საათი, წუთი.

3. აღრიცხვის ჟურნალი უნდა შეიცავდეს ელექტროენერგიით მომარაგების ხანმოკლე წყვეტის ( < 3 წთ.) ყოველ შემთხვევასთან დაკავშირებულ შემდეგ ინფორმაციას:

 ა) წყვეტის საიდენტიფიკაციო ნომერი;

ბ) წყვეტის ძაბვის დონე;

გ) წყვეტის რეგისტრაციის საშუალება (მეთოდი);

დ) წყვეტის ტიპი (გეგმური, არაგეგმური);

ე) წყვეტის მიზეზი (ფორსმაჟორი, გარე, შიდა);

ვ) წყვეტის თარიღი, დრო.

    მუხლი 4. მომხმარებელთა განსახლების სიმჭიდროვის დონე

წყვეტების რეგისტრაციისას, ელექტრომომარაგების წყვეტის მაჩვენებლების

გათვლისთვის, გამოიყენება მომხმარებელთა განსახლების სიმჭიდროვის დონეების

 მიხედვით ტერიტორიის შემდეგი განსაზღვრებები (საქართველოს ადმინისტრაციულ-ტერიტორიული დაყოფის თანახმად, საანგარიშო წელიწადის 1 იანვრის მდგომარეობით):

ა) მაღალი სიმჭიდროვე – ქალაქების ტერიტორიები;

ბ) საშუალო სიმჭიდროვე – დაბების ტერიტორიები;

გ) დაბალი სიმჭიდროვე – სოფლების ტერიტორიები.

    მუხლი 5. წყვეტის ძაბვის დონე

1. ლიცენზიატმა აღრიცხვის ჟურნალშიუნდა მიუთითოს წყვეტის ძაბვის დონე შემდეგი კლასიფიკაციის შესაბამისად:

ა) წყვეტები, წარმოქმნილი ელექტროენერგიის გადაცემის ქსელში (ეგქ);

ბ) წყვეტები, წარმოქმნილი ლიცენზიატის მძ-ის ქსელში ან მძ/მძ (110/35კვ), მძ/სძ ტრანსფორმატორების მძ-ის გრაგნილებში ან მძ-ის სხვა დანადგარში, გარდა ელექტროენერგიის გადაცემის ქსელის (ეგქ) კუთვნილი ხაზებისა და დანადგარებისა;

გ) წყვეტები, წარმოქმნილი სძ-ის ქსელში – მძ/სძ, სძ/დძ ტრანსფორმატორების სძ-ის გრაგნილებში ან სძ-ის სხვა დანადგარსა და ხაზებში;

დ) წყვეტები, წარმოქმნილი დძ-ის ქსელში – სძ/დძ ტრანსფორმატორების დძ-ის გრაგნილებში და დძ-ის ხაზებში.

2. ტრანსფორმატორებში წყვეტების წარმოქმნისას წყვეტა მიეკუთვნება ამ ტრანსფორმატორის მაღალი ძაბვის მხარეს, თუ ის იწვევს მკვებავი სალტეების ან თუნდაც ერთი მკვებავი ხაზის გამორთვას.

    მუხლი 6. წყვეტის მიზეზები

 ლიცენზიატმა აღრიცხვის ჟურნალში ელექტრომომარაგების წყვეტების მიზეზები უნდა მიუთითოს შემდეგი კლასიფიკაციის მიხედვით:

ა) ფორსმაჟორი (დაუძლეველი ძალა);

ბ) გარე მიზეზები;

გ) შიდა მიზეზები.

    მუხლი 7. წყვეტის დასაწყისის აღრიცხვა (რეგისტრაცია)

1. ლიცენზიატმა უნდა აღრიცხოს გეგმური წყვეტის დასაწყისი, რომელიც შეესაბამება ამომრთველის ან/და გამთიშველის კონტაქტების ან სხვა ანალოგიური მოწყობილობის გამორთვის დროს.

2. ლიცენზიატმა უნდა აღრიცხოს არაგეგმური წყვეტის დასაწყისი, რომელიც შეესაბამება წყვეტის შესახებ პირველი შეტყობინების თარიღს, საათს და წუთს, მომხმარებელთა სატელეფონო შეტყობინებების ჩათვლით.

3. ლიცენზიატმა აღრიცხვის ჟურნალში უნდა მიუთითოს წყვეტის დასაწყისის აღრიცხვის (რეგისტრაციის) საშუალება (მეთოდი): ხელით აღრიცხვა ელექტროენერგიის გადაცემის ქსელის (ეგქ) სათანადო ქვესადგურის მორიგე პერსონალის ან ლიცენზიატის პერსონალის ან მომხმარებელთა შეტყობინების (მათ შორის, სატელეფონო) საფუძველზე, ასევე – ავტომატური ხელსაწყოების ჩვენების მიხედვით.

    მუხლი 8. მძ-ის მომხმარებელთა წყვეტის რეგისტრაცია

1. ლიცენზიატმა უნდა აღრიცხოს მძ-ის მომხმარებელთა ელექტროენერგიით მომარაგების ყოველი ხანგრძლივი გეგმური და არაგეგმური წყვეტის ხანგრძლივობა, გათვლილი როგორც წყვეტის დასაწყისისა და დასასრულის დროთა შორის სხვაობა.

2. ლიცენზიატმა უნდა აღრიცხოს ხანმოკლე წყვეტების რაოდენობა.

    მუხლი 9. სძ-ის მომხმარებელთა წყვეტის რეგისტრაცია

1. ლიცენზიატმა უნდა აღრიცხოს სძ-ის მომხმარებელთა ელექტროენერგიით მომარაგების ყოველი გეგმური და არაგეგმური ხანგრძლივი წყვეტის ხანგრძლივობა, გათვლილი როგორც წყვეტის დასაწყისისა და დასრულების დროთა შორის სხვაობა.

2. ლიცენზიატმა უნდა აღრიცხოს ხანმოკლე წყვეტების რაოდენობა.

    მუხლი 10. დძ-ის მომხმარებელთა წყვეტის რეგისტრაცია

1. ელექტროენერგიის გადაცემის ქსელში, აგრეთვე ელექტროენერგიის განაწილების მძ და სძ ქსელებში ყველა გეგმური და არაგეგმური, ხანგრძლივი წყვეტების შემთხვევაში, უნდა აღირიცხოს გამორთული სძ/დძ ტრანსფორმატორების რაოდენობა, დაჯგუფებული მომხმარებელთა განსახლების სიმჭიდროვის დონის მიხედვით.

2. ყველა გეგმური და არაგეგმური, ხანგრძლივი წყვეტების შემთხვევაში, თუ უცნობია ყოველ სძ/დძ ტრანსფორმატორთან და თითოეულ დძ ხაზთან მიერთებულ მომხმარებელთა ზუსტი რაოდენობა, დძ-ის გამორთულ მომხმარებელთა რაოდენობა უნდა შეფასდეს შემდეგი წესით:

ა) გადაცემის ქსელში, მძ და სძ-ის გამანაწილებელ ქსელებში წყვეტების წარმოქმნის შემთხვევაში, დძ-ის გამორთულ (გათიშულ) მომხმარებელთა რაოდენობა გამოითვლება როგორც ყოველი წყვეტისას დარეგისტრირებული გამორთული სძ/დძ ტრანსფორმატორების რაოდენობის ნამრავლი ერთ ტრანსფორმატორზე მიერთებულ მომხმარებელთა საშუალო რაოდენობასთან; ეს მაჩვენებელი გამოითვლება საანგარიშო წლის 1 იანვრის მდგომარეობით მომხმარებელთა განსახლების სიმჭიდროვის დონის მიხედვით – თითოეული უბნისთვის;

ბ) დძ-ის ქსელებში წარმოქმნილი ყველა ხანგრძლივი გეგმური და არაგეგმური წყვეტების შემთხვევაში, დძ-ის გამორთულ (გათიშულ) მომხმარებელთა რაოდენობა გამოითვლება როგორც გამორთული დძ ხაზების (ან ფაზების) ნამრავლი ერთ დძ ხაზზე (ან ფაზაზე) მიერთებულ მომხმარებელთა საშუალო რაოდენობაზე; ეს მაჩვენებელი გამოითვლება საანგარიშო წლის 1 იანვრის მდგომარეობით მომხმარებელთა განსახლების სიმჭიდროვის დონის მიხედვით თითოეული უბნისთვის.

3. ხანგრძლივი არაგეგმური წყვეტების დროს, ამ მუხლის მე-2 პუნქტში მოცემული წესით, უნდა შეფასდეს დძ-ის მომხმარებელთა რაოდენობა, რომელთაც თანამიმდევრულად აღუდგათ ელექტროენერგიის მიწოდება, სძ/დძ ტრანსფორმატორებისა და დძ ხაზების კვების თანამიმდევრულად განახლების შესაბამისად.

4. ლიცენზიატმა უნდა აღრიცხოს დძ-ის მომხმარებელთა ელექტროენერგიით მომარაგების ხანგრძლივი გეგმური და არაგეგმური წყვეტების ხანგრძლივობა, როგორც სხვაობა (ინტერვალი) წყვეტის დაწყებისა და დასრულების დროთა შორის. ეს უკანასკნელი კი განისაზღვრება:

ა) როგორც გამორთული სძ/დძ ტრანსფორმატორებისთვის კვების აღდგენა;

ბ) როგორც დძ-ის ყოველი მომხმარებლისთვის ელექტრომომარაგების საბოლოო აღდგენა.

5. ლიცენზიატმა უნდა აღრიცხოს ხანმოკლე წყვეტების რაოდენობა.

    მუხლი 11. წყვეტის დასრულების რეგისტრაცია

ლიცენზიატმა უნდა აღრიცხოს მძ, სძ და დძ-ის მომხმარებელთა ელექტრომომარაგების ხანგრძლივი წყვეტების დასრულების დრო.

    მუხლი 12. აღრიცხვის ჟურნალში შემავალი ინფორმაციის შემოწმება

1. ლიცენზიატმა სისტემატურად უნდა აწარმოოს წყვეტების აღრიცხვის ჟურნალი და თითოეულ წყვეტას უნდა მიანიჭოს საკუთარი (თავისი) საიდენტიფიკაციო ნომერი (კოდი).

2. საიდენტიფიკაციო ნომერმა (კოდმა) უნდა უზრუნველყოს ინფორმაციის შესაბამისობა თითოეულ იმ წყვეტასთან დაკავშირებით, რომელიც განთავსებულია:

ა) ოპერატიულ ჟურნალებში;

ბ) დისტანციური მართვის სისტემებისა და წყვეტების სარეგისტრაციო სხვა მოწყობილობების ბეჭდურ ან ელექტრონულ ფაილებში;

გ) მომხმარებელთა სატელეფონო და სხვა სახის შეტყობინებათა ჟურნალებში;

დ) შესრულებულ სამუშაოსთან დაკავშირებით ოპერატიული პერსონალის ანგარიშებში;

ე) დოკუმენტებში გეგმურ წყვეტასთან დაკავშირებით მომხმარებელთა წინასწარი ინფორმირების თაობაზე.

3. ლიცენზიატმა, აღრიცხვის ჟურნალში შეტანილი ინფორმაციის შესამოწმებლად, წყვეტის რეგისტრაციის თარიღიდან არანაკლებ 3 წლის განმავლობაში ყველა დოკუმენტი უნდა შეინახოს ხელმისაწვდომი ფორმით.

თავი III

ელექტროენერგიით მომარაგების ხანგრძლივი გეგმური და არაგეგმური წყვეტების ინდექსები

    მუხლი 13. ელექტრომომარაგების წყვეტების ინდექსები

 ელექტრომომარაგების წყვეტების მაჩვენებლებად გამოიყენება:

ა) SAIDI – გამორთვების საშუალო ხანგრძლივობის ინდექსი – საანგარიშო პერიოდში (კვარტალი, წელი) ერთ მომხმარებელზე გამორთვების საშუალო ხანგრძლივობა;

ბ) SAIFI – გამორთვების საშუალო სიხშირის ინდექსი – საანგარიშო პერიოდში (კვარტალი, წელი) ერთ მომხმარებელზე ელექტრომომარაგების გამორთვების საშუალო რაოდენობა;

გ) ENS – მიუწოდებელი ელექტროენერგიის რაოდენობა, რომელიც საანგარიშო პერიოდში (კვარტალი, წელი) წყვეტების მიზეზით არ მიეწოდა მომხმარებელს.

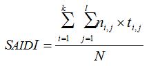
    მუხლი 14. გამორთვების საშუალო ხანგრძლივობის ინდექსი

 1. საანგარიშო პერიოდში (კვარტალი, წელი) ელექტროენერგიის გამორთვების საშუალო ხანგრძლივობა ლიცენზიატის ერთ მომხმარებელზე განისაზღვრება შემდეგი ფორმულით:

  წუთი/მომხმარებელი,

სადაც:

ა) I – ელექტროენერგიის გამორთვების (წყვეტის) ხანგრძლივობის რიგი (I = 1, . . . K);

ბ) J – і-იური, ერთნაირი ხანგრძლივობის წყვეტების რიგი (J = 1, . . . L);

გ) K – სხვადასხვა ხანგრძლივობის გამორთვების რაოდენობა;

დ) T – წყვეტის ხანგრძლივობა წუთებში;

ე) L – ერთიანი ხანგრძლივობით გამორთვების რაოდენობა;

ვ) NI – ერთნაირი ხანგრძლივობით ერთჯერადი წყვეტის გამო გათიშულ     

მომხმარებელთა რაოდენობა (J = 1);

ზ) NIJ – ერთნაირი ხანგრძლივობით (I) მრავალჯერადი (J) წყვეტების გამო გათიშულ

მომხმარებელთა რაოდენობა;

თ) TIJ – წყვეტის ხანგრძლივობა წუთებში NIJ ჯგუფის მომხმარებელთათვის;

ი) N – ლიცენზიატის მომხმარებელთა საერთო რაოდენობა.

2. SAIDI-ის ფორმულიდან გამომდინარე ძაბვის ყველა დონეზე ყოველი გამორთვისათვის შეიძლება განისაზღვროს ელექტროენერგიის წყვეტის ხანგრძლივობის ინდექსი შემდეგი ფორმულით:

  წთ/მომხმ. ,

ა) მაშინ გამორთვების ხანგრძლივობის საშუალო ინდექსის გამოთვლის ფორმულა მიიღებს შემდეგ სახეს:

 წთ/მომხმ. ,

 

 ბ) ტერიტორიული უბნის მომხმარებელთა გამორთვების ხანგრძლივობის მაჩვენებელი გამოითვლება შემდეგი ფორმულით:

 წთ/მომხმ. ,

 

სადაც: N – ტერიტორიული უბნის მომხმარებელთა რაოდენობა;

 T – ტერიტორიული უბანი.

3. ლიცენზიატმა უნდა გამოითვალოს SAIDI: ცალ-ცალკე გეგმური და არაგეგმური ხანგრძლივი წყვეტების შემთხვევაში, წყვეტების გამომწვევი მიზეზების მითითებით:

ა) ეგქ წყვეტის შემთხვევაში– გამოითვლება მძ, სძ და დძ განაწილების ქსელის მომხმარებლებისათვის;

ბ) მძ ქსელში წყვეტის შემთხვევაში– გამოითვლება მძ, სძ და დძ განაწილების ქსელის მომხმარებლებისათვის;

გ) სძ ქსელში წყვეტის შემთხვევაში – გამოითვლება სძ და დძ განაწილების ქსელის მომხმარებლებისათვის;

დ) დძ ქსელში წყვეტის შემთხვევაში – გამოითვლება მხოლოდ ამ ძაბვის ქსელის მომხმარებლებისათვის;

ე) წყვეტების ყველა შემთხვევისთვის დძ ქსელის მომხმარებლებისათვის განისაზღვრება ტერიტორიული უბნების მიხედვით.

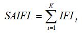
    მუხლი 15. გამორთვების საშუალო სიხშირის ინდექსი

1. საანგარიშო პერიოდში (კვარტალი, წელი) გამორთვების საშუალო სიხშირის ინდექსი ლიცენზიატის ერთ მომხმარებელზე განისაზღვრება შემდეგი ფორმულით:

 , გამორთვა/მომხ. ,

სადაც:

ა) I – ელექტროენერგიის გათიშვების (წყვეტის) ხანგრძლივობის რიგი (I = 1, . . . K);

ბ) NI–ერთნაირი ხანგრძლივობით ერთჯერადი წყვეტის გამო გათიშულ

 მომხმარებელთა რაოდენობა (J = 1);

გ) K – სხვადასხვა ხანგრძლივობის გამორთვების რაოდენობა;

დ) N – ლიცენზიატის მომხმარებელთა საერთო რაოდენობა.

2. SAIFI- ის ფორმულიდან გამომდინარე ძაბვის ყველა დონეზე ყოველი გამორთვისთვის შეიძლება განისაზღვროს წყვეტის სიხშირის ინდექსი:

  გამორთ./მომხმ. ,

მაშინ

  გამორთვა/მომხმ. ,

 

3. ტერიტორიული უბნისთვის

  გამორთვა/მომხმ. ,

 

სადაც: N არის ტერიტორიული უბნის მომხმარებელთა რაოდენობა;

 T – ტერიტორიული უბანი.

4. ლიცენზიატმა უნდა გამოითვალოს SAIFI: ცალ-ცალკე გეგმური და არაგეგმური ხანგრძლივი წყვეტების შემთხვევაში, წყვეტების გამომწვევი მიზეზების მითითებით:

ა) ეგქ წყვეტის შემთხვევაში – გამოითვლება მძ, სძ და დძ განაწილების ქსელის მომხმარებლებისათვის;

ბ) მძ ქსელში წყვეტის შემთხვევაში – გამოითვლება მძ, სძ და დძ განაწილების ქსელის მომხმარებლებისათვის;

გ) სძ ქსელში წყვეტის შემთხვევაში – გამოითვლება სძ და დძ განაწილების ქსელის მომხმარებლებისათვის;

დ) დძ ქსელში წყვეტის შემთხვევაში – გამოითვლება მხოლოდ ამ ძაბვის ქსელის მომხმარებლებისათვის;

ე) წყვეტების ყველა შემთხვევისთვის დძ ქსელის მომხმარებლებისათვის განისაზღვრება ტერიტორიული უბნების მიხედვით.

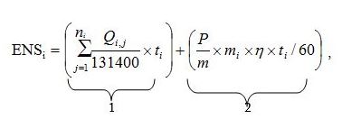
    მუხლი 16. მიუწოდებელი ელექტროენერგიის განსაზღვრა

1. მომხმარებლებისათვის ელექტროენერგიის მიუწოდებლობა (შეზღუდვა), როდესაც გადაცემის ქსელიდან ხდება ელექტროენერგიის მიწოდების ხანგრძლივი შეწყვეტა განაწილების მძ და სძ ქსელებში, განისაზღვრება შემდეგი ფორმულით:


სადაც:  

ა) I  – ელექტროენერგიის გათიშვების (წყვეტის) ხანგრძლივობის რიგი (I = 1, . . . K);

ბ) J  – і-იური, ერთნაირი ხანგრძლივობის წყვეტების რაოდენობა (J = 1, . . . L);

გ)QIJ კვტ.სთ.–ელექტროენერგიის რაოდენობა, რომელიც საანგარიშო პერიოდში (კვარტალი, წელი) მოიხმარეს განაწილების ქსელის სძ და მძ იმ მომხმარებლებმა, რომლებსაც გაეთიშათ ელექტრომომარაგება (აღირიცხება მომხმარებლის მრიცხველებით);

დ) NI – ერთნაირი ხანგრძლივობით, ერთჯერადი წყვეტების გამო გათიშულ სძ და მძ

 მომხმარებელთა რაოდენობა;

ე) TI წთ. – і-იური წყვეტის გამო ელექტროენერგიის მიუწოდებლობის დრო;

ვ) M            – სძ/დძ ტრანსფორმატორთა რაოდენობა;

ზ) MI                    –ერთნაირი ხანგრძლივობით, I-ური წყვეტების გამო გათიშულ სძ/დძ

 ტრანსფორმატორთა რაოდენობა;

თ) PP, კვტ. – სძ/დძ ტრანსფორმატორთა ჯამური სიმძლავრე;

ი) η              – ტრანსფორმატორთა დატვირთვის კოეფიციენტი (განისაზღვრება დატვირთვის

 რეჟიმული გაზომვების შედეგების მიხედვით);

კ)კ – სხვადასხვა ხანგრძლივობის გამორთვების რაოდენობა;

ლ) 131400 – კვარტალში წუთების საშუალო რაოდენობა;

მ) 60 – ერთ საათში წუთების რაოდენობა.

2. ამ მუხლის პირველ პუნქტში მოყვანილი ფორმულა შედგება ორი ნაწილისგან, რომელთაგან პირველი განსაზღვრავს საანგარიშო პერიოდში (კვარტალი, წელი) მიუწოდებელი ელექტროენერგიის რაოდენობას მძ და სძ მომხმარებლებისათვის, მეორე დძ მომხმარებლებისათვის მიუწოდებელი ელექტროენერგიის რაოდენობას.

3. ლიცენზიატმა უნდა გამოთვალოს განაწილების მძ და სძ ქსელებში ელექტროენერგიის მიუწოდებლობა, რომელიც გამოწვეულია გადაცემის ქსელში წარმოქმნილი ყოველი გეგმური და არაგეგმური ხანგრძლივი წყვეტების გამო.        

    მუხლი 17. ლიცენზიატის მიერ კომისიაში წარსადგენი ინფორმაცია

1. ლიცენზიატმა წყვეტების მაჩვენებელთა შესახებ ინფორმაცია უნდა წარუდგინოს კომისიას საანგარიშო კვარტალის დასრულებიდან ერთი თვის ვადაში, ხოლო საანგარიშო წლის დასრულებიდან მომდევნო წლის 1 აპრილამდე.

2. ინფორმაცია გეგმური და არაგეგმური ხანგრძლივი წყვეტების შესახებ უნდა შეიცავდეს:

 ა) თითოეული ტერიტორიული უბნის დძ-ის მომხმარებელთა ელექტრომომარაგების წყვეტების მაჩვენებლების ანგარიშის შედეგებს (SAIDI, SAIFI);

 ბ) ყოველი უბნისთვის მძ-ის და სძ-ის მომხმარებელთა ელექტრომომარაგების წყვეტების მაჩვენებლების ანგარიშის შედეგებს (SAIDI, SAIFI);

 გ) მძ, სძ და დძ-ის მომხმარებლებისათვის მიუწოდებელი ელექტროენერგიის რაოდენობის შესახებ გამომწვევი მიზეზების გათვალისწინებით.

3. ინფორმაცია ხანმოკლე წყვეტების რაოდენობის შესახებ.

4. ლიცენზიატი პასუხისმგებელია მის მიერ კომისიაში წარდგენილი ელექტრომომარაგების უწყვეტობის მაჩვენებლების და მიუწოდებელი ელექტროენერგიის შესახებ ინფორმაციის სიზუსტეზე; ამასთან, მან უნდა უზრუნველყოს იმ ინფორმაციის შემოწმების შესაძლებლობა, რომელიც გამოიყენება საიმედოობის მაჩვენებელთა გამოსათვლელად.

    მუხლი 18. ტერიტორიული უბნები

1. ლიცენზიატის საქმიანობის არეალში ადმინისტრაციულ-ტერიტორიული ერთეულები, დძ მომხმარებელთა ელექტრომომარაგების საიმედოობის ხარისხის მაჩვენებლების გამოთვლის გაადვილების მიზნით, იყოფა ტერიტორიულ უბნებად მომხმარებელთა განსახლების სიმჭიდროვის დონეების მიხედვით.

2. ქალაქის (ქალაქების) ტერიტორიული უბანი უნდა მოიცავდეს არანაკლებ 5000 მომხმარებელს, ხოლო დაბების და სოფლების – არანაკლებ 3500.

თავი IV

ელექტრომომარაგების უწყვეტობის მაჩვენებელთა შემოწმება

    მუხლი 19. ლიცენზიატის მიერ მიწოდებული მონაცემების შემოწმება

თუ ლიცენზიატის მიერ კომისიაში წარდგენილ მონაცემთა შერჩევითი შემოწმების შედეგად კომისია გამოავლენს, რომ მონაცემები არ არის დარეგისტრირებული ამ ინსტრუქციის მოთხოვნათა შესაბამისად, კომისიამ შემოწმების პროცესში მიღებული მონაცემებით უნდა განსაზღვროს წარმოდგენილი მაჩვენებლების სანდოობა.

    მუხლი 20. ელექტრომომარაგების უწყვეტობის თაობაზე მონაცემების სანდოობის შემოწმების ინდექსები

1. იმისათვის, რომ ლიცენზიატის მიერ წარდგენილი ინფორმაციის შემოწმებისას დადგინდეს, თუ რამდენად სანდოა ელექტრომომარაგების თაობაზე მისი მონაცემები, გამოიყენება შემდეგი ინდექსები:

ა) სისრულის ინდექსი – AI;

ბ) სიზუსტის ინდექსი – PI;

გ) სისწორის ინდექსი – СI.

2. ინდექსები გამოითვლება ლიცენზიატის ყოველი სადისპეტჩერო ცენტრისთვის მის არეალში შემავალი ტერიტორიული უბნის მონაცემებზე დაყრდნობით.

    მუხლი 21. ელექტრომომარაგების უწყვეტობის თაობაზე მონაცემთა სანდოობის განსაზღვრის კრიტერიუმები

 ლიცენზიატის მიერ ელექტრომომარაგების უწყვეტობის თაობაზე კომისიაში წარდგენილი მონაცემები ჩაითვლება სანდოთ, თუ შემოწმებული მაჩვენებლები აკმაყოფილებს შემდეგ პირობებს:

ა) სისრულის ინდექსი აღემატება 90%-ს;

ბ) სიზუსტის ინდექსი მერყეობს + 5%-ის დიაპაზონში;

გ) სისწორის ინდექსი აღემატება 95%-ს.

 

 დანართი №1

ლიცენზიატის არეალში ელექტრომომარაგების წყვეტების აღრიცხვის წესები

1. წყვეტების მონაცემთა პირველადი აღრიცხვა წარმოადგენს ელექტრომომარაგების საიმედოობის მაჩვენებელთა მონიტორინგის ყველაზე მნიშვნელოვან ეტაპს, რომელზეც დამოკიდებულია:

ა) რამდენად ზუსტად და ერთნაირი მიდგომით იქნება განსაზღვრული ლიცენზიატის მომსახურების ხარისხის მაჩვენებლები;

ბ) შესაძლებელი იქნება თუ არა იმ მონაცემთა შემოწმება, რომელსაც ლიცენზიატი წარადგენს კომისიაში.

2. ყველა ლიცენზიატისათვის სავალდებულოა ელექტრომომარაგების წყვეტების აღრიცხვის ერთიანი ფორმის ჟურნალის შემოღება თანდართული ფორმით (ცხრილი №1). ასეთი სახის ჟურნალი უნდა წარმოებდეს ელექტრონული ფორმითაც. ელექტრომომარაგების საიმედოობის მაჩვენებლები არსებითად დამოკიდებულია ელექტროქსელების სტრუქტურაზე, რომელიც განსხვავებულია სხვადასხვა სიმჭიდროვით დასახლებული ტერიტორიებისათვის. ამიტომ უნდა მოხდეს ელექტრომომარაგების საიმედოობის მაჩვენებლების შეფასება მომხმარებელთა განსახლების სიმჭიდროვის დონეების მიხედვით ცალ-ცალკე მაღალი (ქალაქები), საშუალო (დაბები) და დაბალი (სოფლები). ასეთი დაყოფა საჭიროა განხორციელდეს საქართველოს ადმინისტრაციულ-ტერიტორიული დაყოფის შესაბამისად, საანგარიშო წლის დასაწყისის მდგომარეობით. ამიტომ აღრიცხვის ჟურნალში მითითებული უნდა იყოს როგორც ლიცენზიატის მომხმარებელთა საერთო რაოდენობა, ასევე მომხმარებელთა რაოდენობა ტერიტორიულ უბნებზე განსახლების სიმჭიდროვის დონეების მიხედვით.

3. ცხრილის შევსების წესი:

ა) ცხრილის გრაფა 1-ში (ID) თითოეულ წყვეტაზე მიეთითება მისი საიდენტიფიკაციო ნომერი. ამ ნომრით განსაზღვრული პერიოდისთვის (არანაკლებ 3 წელი) უნდა ინახებოდეს ყველა დამატებითი ინფორმაცია ელექტრომომარაგების მოცემული წყვეტის შესახებ, მაგალითად, ჰიდრომეტეოროლოგიური სამსახურის დოკუმენტები უამინდობის თაობაზე ან დოკუმენტები, რომელიც ელექტრომომარაგების წყვეტის შემთხვევაში მესამე პირთა ბრალეულობას ადასტურებს. ეს საჭიროა ლიცენზიატის მიერ კომისიაში წარსადგენი მონაცემების უტყუარობის შესამოწმებლად.

ბ) გრაფა 2-ში („რეგისტრაციის საშუალება“) – მითითებული უნდა იყოს, თუ რა საშუალებით (მეთოდით) მოხდა ელექტრომომარაგების წყვეტის აღრიცხვა.

ელექტრომომარაგების წყვეტის დაწყების თაობაზე მონაცემების სიზუსტე დამოკიდებულია აღრიცხვის საშუალებაზე (მეთოდზე): ქვესადგურის მორიგის ინფორმაციის საფუძველზე აღრიცხვის შემთხვევაში წყვეტის დასაწყისი აღირიცხება უფრო ზუსტად, ვიდრე მომხმარებლის მხრიდან სატელეფონო შეტყობინების რეგისტრაციისას. ამიტომ წყვეტის აღრიცხვის ჟურნალში უნდა მიეთითოს ინფორმაციის მომწოდებელი: „ქვესადგურის მორიგის შეტყობინების მიხედვით“ ან „მომხმარებლისგან მიღებული შეტყობინების მიხედვით“.

გ) გრაფა 3-ში (წყვეტის ძაბვის დონე) მიეთითება ძაბვის რა დონეზე (0,4კვ, 6კვ, 10კვ, 35კვ, 110კვ ან ელექტროგადაცემის ქსელში) მოხდა ქსელის ელემენტის უმოქმედობა, რამაც გამოიწვია ელექტრომომარაგების წყვეტა.

დ) გრაფა 4-ში („ეგხ დასახელება“) – მიეთითება იმ ელექტროგადამცემი ხაზების (ეგხ) დისპეტჩერული დასახელება, რომელიც ელექტრომომარაგების წყვეტის შედეგად გამოირთო.

ე) გრაფა 5-ში („მიზეზი“) – მიეთითება მიზეზი, რომლის გამო მოხდა ელექტრომომარაგების წყვეტა. ელექტრომომარაგების წყვეტა შეიძლება მოხდეს როგორც ლიცენზიატის მიზეზით, ასევე ისეთი მიზეზებითაც, რომელსაც ლიცენზიატი ვერ აკონტროლებს. ელექტრომომარაგების წყვეტის მიზეზების კლასიფიკაცია მოცემულია ინსტრუქციის მე-6 მუხლის პირველ პუნქტში.

 ვ) გრაფა 6-ში („დაწყების თარიღი და დრო“) მიეთითება ელექტრომომარაგების წყვეტის დაწყების თარიღი და დრო – დისპეტჩერთან წყვეტის თაობაზე პირველი შეტყობინების დრო.

ზ) გრაფა 7-ში („დასრულების თარიღი და დრო“) მიეთითება ელექტრომომარაგების წყვეტის აღდგენის თარიღი და დრო. ამასთან, გათვალისწინებული უნდა იყოს ელექტრომომარაგების ეტაპობრივი აღდგენა.

თ) გრაფა 8-ში („წყვეტის ტიპი“) – მიეთითება ელექტრომომარაგების წყვეტის ტიპი (გეგმური, არაგეგმური).

ი) გრაფა 9-ში („გამორთული მომხმარებლები“) – მიეთითება ელექტრომომარაგების წყვეტის შედეგად ქალაქების, დაბებისა და სოფლების გამორთულ მომხმარებელთა რაოდენობები.

კ) გრაფა 10-ში („მიუწოდებელი ელექტროენერგია“) – მიეთითება მომხმარებლისთვის ელექტრომომარაგების წყვეტის შედეგად გაუცემელი (მიუწოდებელი) ელექტროენერგიის რაოდენობა. აღნიშნული რაოდენობა შეიძლება შეფასდეს როგორც ელექტრომომარაგების წყვეტის ხანგრძლივობა გამრავლებული წინა პერიოდში (წელი, თვე და ა.შ.) საშუალო მოხმარების სიდიდეზე.

ლ) გრაფებში 11-13 (SAIDI ქალაქი, SAIDI დაბა, SAIDI სოფელი) – მიეთითება SAIDI-ის დაანგარიშებული მაჩვენებლები, შესაბამისად, ქალაქის, დაბისა და სოფლის შემთხვევებში.

მ) ანალოგიურად, გრაფებში 14-16 (SAIFI ქალაქი, SAIFI დაბა, SAIFI სოფელი) მიეთითება SAIFI-ის დაანგარიშებული მაჩვენებლები, შესაბამისად, ქალაქის, დაბისა და სოფლის შემთხვევებში.

ცხრილი 1. ელექტრომომარაგების წყვეტების აღრიცხვის ჟურნალის ფორმა

 

მომხმარებელთა რაოდენობა (სულ)

 

მათ შორის, ქალაქის (ქ)

 

დაბის (დ)

 

სოფლის (ს)

 

 

 

 

ID

რეგისტრაციის საშუალება

წყვეტის ძაბვის დონე

ეგხის დასახელება

მიზეზი

დაწყების თარიღი და დრო

დასრუ

ლების თარიღი და დრო

წყვეტის ტიპი

გამორთული მომხმარებელი

მიუწოდებელი ელექტრო-

ენერგია

ENS

SAIDI ქალაქი

SAIDI დაბა

SAIDI სოფ.

SAIFI ქალაქი

SAIFI დაბა

SAIFI სოფ.

1

2

3

4

5

6

7

8

9

10

11

12

13

14

15

16

 

 

 

 

 

 

 

 

 

 

 

 

 

 

 

 

 

 

 

 

 

 

 

 

 

 

 

 

 

 

 

 

 

 

 

 

 

 

 

 

 

 

 

 

 

 

 

 

 

 

 

 

 

 

 

 

 

 

 

 

 

 

 

 

 

 

 

დანართი №2

ლიცენზიატის მიერ კომისიაში ანგარიშის ფორმის წარდგენის წესი

1. პირველადი მონაცემების საფუძველზე, რომელიც შეტანილია ელექტრომომარაგების წყვეტების აღრიცხვის ჟურნალში, ლიცენზიატმა კომისიაში უნდა წარადგინოს ელექტრომომარაგების საიმედოობის მაჩვენებელთა შესახებ განზოგადებული მაჩვენებლები – SAIDI და SAIFI ცალ-ცალკე ქალაქების, დაბებისა და სოფლების ტერიტორიებისთვის (ცხრილი 2).

2. ასეთი ანგარიში კომისიას უნდა მიეწოდოს ყოველკვარტალურად.

ცხრილი 2. ელექტრომომარაგების საიმედოობის მაჩვენებელთა ანგარიშის ფორმა, რომელიც ლიცენზიატმა კომისიაში უნდა წარადგინოს ცალ-ცალკე ქალაქის, დაბისა, და სოფლის ტერიტორიებისთვის.

განაწილების ლიცენზიატი: A

წელი: ––––––,  I (II, III, IV) კვარტალი

წყვეტის ტიპი: ხანგრძლივი, გეგმური და არაგეგმური

SAIDI ქალაქის (დაბის, სოფლის)

 

 

წყვეტის მიზეზი

ეგქ

მძ

სძ

დძ

სულ

1

2

3

4

5

ფორსმაჟორი

1

 

 

 

 

 

გარე მიზეზები

2

 

 

 

 

 

შიდა მიზეზები

3

 

 

 

 

 

გეგმური

4

 

 

 

 

 

სულ

5

 

 

 

 

 

 

SAIFI ქალაქის (დაბის, სოფლის)

 

 

წყვეტის მიზეზი

ეგქ

მძ

სძ

დძ

სულ

1

2

3

4

5

ფორსმაჟორი

1

 

 

 

 

 

გარე მიზეზები

2

 

 

 

 

 

შიდა მიზეზები

3

 

 

 

 

 

გეგმური

4

 

 

 

 

 

სულ

5

 

 

 

 

 

 

1. ცხრილი 2-ის 1-ლ–მე-3 სტრიქონებში მოცემულია SAIDI და SAIFI სისტემის ინდექსების მონაცემები იმ წყვეტებისთვის, რომელიც წარმოქმნილია ფორსმაჟორული გარემოებების შესაბამისად (1), გარე მიზეზების მოქმედების გამო (2), შიდა მიზეზების გამო (3). მე-4 სტიქონში მოცემულია გეგმური წყვეტების ინდექსების მაჩვენებლები.

2. ცხრილი 2-ის 1-ლ–მე-4 სვეტებში მოცემულია SAIDI და SAIFI სისტემის ინდექსების მონაცემები, რომლებიც განპირობებულია ელექტროქსელის ელემენტების დაზიანებით ელექტროენერგიის გადაცემის ქსელში (ეგქ) (1), მძ განაწილების ქსელებში (2), სძ განაწილების ქსელებში (3), დძ განაწილების ქსელებში (4).

დანართი №3

კომისიის მიერ ელექტრომომარაგების საიმედოობის მონაცემების შემოწმების წესი

1. კომისიამ უნდა გააკონტროლოს ელექტრომომარაგების წყვეტების აღრიცხვის  სისწორე, აღრიცხვის ჩატარების წესების შესაბამისად:

 ა) აღრიცხვის სისრულეზე – წყვეტის ყველა შემთხვევა უნდა იყოს აღრიცხული;

 ბ) გამოთვლის სიზუსტეზე – უნდა განისაზღვროს სტატისტიკური მახასიათებლები  (ცდომილებები) SAIDI და SAIFI-ის მიხედვით;

 გ) წყვეტის მიზეზების განსაზღვრის სისწორეზე – უნდა შემოწმდეს წყვეტის  წარმოქმნის მიზეზებისა და ადგილის (ძაბვის დონის) მითითების სისწორე.

2. ნებისმიერი შერჩევითობის პრინციპით ირჩევა ტერიტორიული უბნები და იმავე პრინციპით – ელექტრომომარაგების შესამოწმებელი წყვეტის შემთხვევები. კომისია განსაზღვრავს:

ა) შერჩეული მონაცემების შეფასების ინდექსებს;

ბ) ლიცენზიატის მიერ წარმოდგენილი მონაცემების სარწმუნოობის კრიტერიუმებს.

3. სისრულის ინდექსით AI ხდება სძ ქსელებში არაგეგმური წყვეტების

 რეგისტრაციის სისრულისა და სიზუსტის შეფასება. AI შესაძლოა მიიღოს

 მნიშვნელობები 0-დან (მინიმალური სისრულე) 100%-მდე (მაქსიმალური

 სისრულე). AI გამოითვლება ამგვარად:

 

სადაც:

ა) I–ინდექსი, რომელიც იღებს მნიშვნელობებს 1-დან 10-მდე და განეკუთვნება არასრული და უზუსტო მონაცემთა სხვადასხვა ტიპებს (ცხრილი 3);

ბ) Pi– არასრული და უზუსტო მონაცემთა ყოველი ტიპის ხვედრითი წონა

(ცხრილი 3);

გ) Ni – სძ ქსელებში არაგეგმური ხანგრძლივი წყვეტების რაოდენობა, რომელთა სარეგისტრაციო მონაცემების შემოწმებისას აღმოჩენილ იქნა არარსებულ ან არასრულ მონაცემთა i-ური ტიპი;

დ) N – სძ ქსელებში ელექტრომომარაგების არაგეგმური წყვეტების საერთო რაოდენობიდან შესამოწმებლად შერჩეული წყვეტების რაოდენობა.

4. თუ მოცემული წყვეტის თაობაზე სარეგისტრაციო ჩანაწერში აღმოჩენილია არასრული ან არაზუსტი ერთ ტიპზე მეტი მაჩვენებელი, მხედველობაში მიიღება შედარებით უფრო სერიოზული შეცდომა (ის, რომელსაც Pi მეტი წონა გააჩნია).

5. ინფორმაცია ჩაითვლება სანდოდ, თუ ინდექსი AI >90%-ზე.

ცხრილი 3

 

i

უზუსტო და არასრული მონაცემების ტიპი (არაგეგმური წყვეტები სძ ქსელებში)

Pi

1

არარეგისტრირებული წყვეტა

1

2

წყვეტის დასაწყისი დარეგისტრირებულია 30 წთ-ზე მეტი ცდომილებით

0.5

3

წყვეტის დასაწყისი დარეგისტრირებულია 15-30 წთ. ცდომილებით

0.3

4

წყვეტის დასაწყისი დარეგისტრირებულია 5-15 წთ. ცდომილებით

0.1

5

წყვეტის დასაწყისი დარეგისტრირებულია 1-5 წთ. ცდომილებით

0.05

6

წყვეტის დასაწყისი დარეგისტრირებულია 1 წთ-მდე ცდომილებით

0.01

7

წყვეტის დასასრული დარეგისტრირებულია 10 წთ-ზე მეტი ცდომილებით

0,3

8

წყვეტის დასასრული დარეგისტრირებულია 1-10 წთ. ცდომილებით

0,01

9

წყვეტა დარეგისტრირებულია იმგვარად, რომ ვერ ხერხდება წყვეტის ხანგრძლივობის, გამორთულ მომხმარებელთა რაოდენობის ან წყვეტის მიზეზის შემოწმება

0,3

10

წყვეტები აღრიცხულია უზუსტოდ სხვა მიზეზების გამო (მაგ.: ორი წყვეტა აღრიცხულია როგორც ერთი, მაგრამ წყვეტის სწორი საერთო ხანგრძლივობით, ზედმეტი წყვეტების ჩანაწერი)

0,1

 

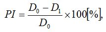
6. სიზუსტის ინდექსი PI სიზუსტის ინდექსით ხდება სძ ქსელებში ხანგრძლივი არაგეგმური წყვეტების თაობაზე მონაცემთა საერთო ცდომილების შეფასება.

7. PI-მ შეიძლება მიიღოს დადებითი ან უარყოფითი მნიშვნელობა და მაქსიმალური სიზუსტის შემთხვევაში 0-ის ტოლია. PI გამოითვლება ამგვარად:

 

 

სადაც:

ა) Do–კომისიის მიერ შემოწმებული წყვეტების სრული (ჯამური) ხანგრძლივობა დძ-ის ერთ მომხმარებელზე (სძ ქსელების დაზიანების გამო), რომელიც გამოითვლება წყვეტების სრული ხანგრძლივობისა და გათიშულ მომხმარებელთა რაოდენობის მიხედვით;

ბ) D1– ლიცენზიატის მიერ ერთი დძ-ის მომხმარებლისთვის (სძ ქსელების დაზიანების გამო) გამოთვლილი წყვეტის სრული ხანგრძლივობის მაჩვენებელი.

8. სისწორის ინდექსი CI სისწორის ინდექსით ხდება სარეგისტრაციო მონაცემებში წყვეტის მიზეზებისა და ადგილის (ძაბვის დონის) მითითების სისწორის შეფასება.

СI -მ შეიძლება მიიღოს მნიშვნელობები 0-დან 100%-მდე. მნიშვნელობა 0 მიუთითებს სიზუსტის სრულ არარსებობაზე წყვეტის მიზეზების როგორც ფორსმაჟორულიგარემოებების, გარე და შიდა მიზეზების, ასევე, წყვეტის წარმოქმნის ადგილის (ელექტროენერგიის გადაცემის ან განაწილების მძ ქსელები) განსაზღვრისას. ინდექსის მნიშვნელობა – 100% მიუთითებს წყვეტების წარმოქმნის მიზეზებისა და ადგილის განსაზღვრის მაქსიმალურ სიზუსტეზე. CI გამოითვლება ამგვარად:

 

 

სადაც:

ა) D2–შემოწმებისას გამოკვლეული არაგეგმური ხანგრძლივი წყვეტების ჯამური (სრული) ხანგრძლივობა ერთ მომხმარებელზე, რომლის მიზეზი ლიცენზიატმა დასაბუთებულად მიუთითა: ფორსმაჟორი, გარე და შიდა მიზეზები ან წარმოქმნის ადგილი – ელექტროენერგიის გადაცემის ქსელი (ეგქ) ან განაწილების მძ ქსელი;

ბ) DA – შემოწმებისას გამოკვლეული, სძ და დძ ქსელებში წარმოქმნილი არაგეგმური ხანგრძლივი წყვეტების ჯამური (სრული) ხანგრძლივობა ერთ მომხმარებელზე, რომელთა მიზეზად ლიცენზიატმა ფორსმაჟორიმიუთითა, სინამდვილეში კი წყვეტები გამოწვეული იყო სხვა მიზეზებით;

გ) DB–შემოწმებისას გამოკვლეული, სძ და დძ ქსელებში წარმოქმნილი არაგეგმური ხანგრძლივი წყვეტების ჯამური ხანგრძლივობა ერთ მომხმარებელზე, რომელთა წარმოქმნის მიზეზად ლიცენზიატმა შიდა მიზეზები მიუთითა, სინამდვილეში კი წყვეტები გამოწვეული იყო სხვა მიზეზებით;

დ) DC – შემოწმებისას გამოკვლეული, ნებისმიერი მიზეზით წარმოქმნილი არაგეგმური ხანგრძლივი წყვეტების ჯამური ხანგრძლივობა ერთ მომხმარებელზე, რომელიც ლიცენზიატმა მიუთითა როგორც ელექტროენერგიის გადაცემის (გარე მიზეზები) ქსელში წარმოქმნილი, სინამდვილეში კი წყვეტები წარმოიქმნა განაწილების სძ ქსელში;

ე) DD – შემოწმებისას გამოკვლეული, ნებისმიერი მიზეზით წარმოქმნილი არაგეგმური ხანგრძლივი წყვეტების ჯამური ხანგრძლივობა ერთ მომხმარებელზე, რომელიც ლიცენზიატმა მიუთითა როგორც განაწილების მძ ქსელში წარმოქმნილი, სინამდვილეში კი წყვეტები წარმოიქმნა სძ ქსელში;

 9. CI გამოთვლისას წყვეტის ხანგრძლივობის მნიშვნელობა ერთ მომხმარებელზე ეფუძნება შემოწმებისას გამოვლენილი წყვეტების ხანგრძლივობისა და გამორთულ მომხმარებელთა რაოდენობის ფაქტობრივ მნიშვნელობებს. CI ტოლია 100%-ის იმ შემთხვევაში, თუ არც ერთი წყვეტა არ წარმოქმნილა ელექტროენერგიის გადაცემის ქსელებში ან განაწილების მძ ქსელში, ან არც ერთი წყვეტა არ წარმოქმნილა ფორსმაჟორულიან გარე მიზეზების გამო.