„საქართველოს ფინანსთა სამინისტროს მიერ სახაზინო ვალდებულებების და სახაზინო ობლიგაციების გამოშვების, მიმოქცევის, აღრიცხვისა და დაფარვის შესახებ დებულების დამტკიცების თაობაზე“ საქართველოს ეროვნული ბანკის პრეზიდენტისა და საქართველოს ფინანსთა მინისტრის 2010 წლის 1 თებერვლის №10/01–№51 ერთობლივ ბრძანებაში ცვლილების შეტანის შესახებ

„საქართველოს ფინანსთა სამინისტროს მიერ სახაზინო ვალდებულებების და სახაზინო ობლიგაციების გამოშვების, მიმოქცევის, აღრიცხვისა და დაფარვის შესახებ დებულების დამტკიცების თაობაზე“ საქართველოს ეროვნული ბანკის პრეზიდენტისა და საქართველოს ფინანსთა მინისტრის 2010 წლის 1 თებერვლის №10/01–№51 ერთობლივ ბრძანებაში ცვლილების შეტანის შესახებ
დოკუმენტის ნომერი 176/04
დოკუმენტის მიმღები საქართველოს ეროვნული ბანკის პრეზიდენტი
მიღების თარიღი 14/07/2023
დოკუმენტის ტიპი საქართველოს ეროვნული ბანკის პრეზიდენტის ბრძანება
გამოქვეყნების წყარო, თარიღი ვებგვერდი, 17/07/2023
სარეგისტრაციო კოდი 220090000.18.011.016745
176/04
14/07/2023
ვებგვერდი, 17/07/2023
220090000.18.011.016745
„საქართველოს ფინანსთა სამინისტროს მიერ სახაზინო ვალდებულებების და სახაზინო ობლიგაციების გამოშვების, მიმოქცევის, აღრიცხვისა და დაფარვის შესახებ დებულების დამტკიცების თაობაზე“ საქართველოს ეროვნული ბანკის პრეზიდენტისა და საქართველოს ფინანსთა მინისტრის 2010 წლის 1 თებერვლის №10/01–№51 ერთობლივ ბრძანებაში ცვლილების შეტანის შესახებ
საქართველოს ეროვნული ბანკის პრეზიდენტი
„საქართველოს ფინანსთა სამინისტროს მიერ სახაზინო ვალდებულებების და სახაზინო ობლიგაციების გამოშვების, მიმოქცევის, აღრიცხვისა და დაფარვის შესახებ დებულების დამტკიცების თაობაზე“ საქართველოს ეროვნული ბანკის პრეზიდენტისა და საქართველოს ფინანსთა მინისტრის 2010 წლის 1 თებერვლის №10/01–№51 ერთობლივ ბრძანებაში ცვლილების შეტანის შესახებ
 

საქართველოს ეროვნული ბანკის პრეზიდენტისა და საქართველოს ფინანსთა მინისტრის

ერთობლივი ბრძანება №176/04- №268

2023 წლის 14 ივლისი

ქ. თბილისი

 

„საქართველოს ფინანსთა სამინისტროს მიერ სახაზინო ვალდებულებების და სახაზინო ობლიგაციების გამოშვების, მიმოქცევის, აღრიცხვისა და დაფარვის შესახებ დებულების დამტკიცების თაობაზე“ საქართველოს ეროვნული ბანკის პრეზიდენტისა და საქართველოს ფინანსთა მინისტრის 2010 წლის 1 თებერვლის №10/01–№51 ერთობლივ ბრძანებაში ცვლილების შეტანის შესახებ

„ნორმატიული აქტების შესახებ“ საქართველოს ორგანული კანონის მე-20 მუხლის მე-4 პუნქტის შესაბამისად, ვბრძანებთ:

მუხლი 1
„საქართველოს ფინანსთა სამინისტროს მიერ სახაზინო ვალდებულებების და სახაზინო ობლიგაციების გამოშვების, მიმოქცევის, აღრიცხვისა და დაფარვის შესახებ დებულების დამტკიცების თაობაზე“ საქართველოს ეროვნული ბანკის პრეზიდენტისა და საქართველოს ფინანსთა მინისტრის 2010 წლის 1 თებერვლის №10/01-№51 ერთობლივი ბრძანებით (სსმ. III, 03.02.2010, №13 მუხ.151) დამტკიცებულ დებულებაში შეტანილ იქნეს შემდეგი ცვლილება:

1. მე-2 მუხლის „ნ“ ქვეპუნქტი ჩამოყალიბდეს შემდეგი რედაქციით:

„ნ) ანგარიშსწორების დღე – დღე, როდესაც ხდება აუქციონზე შეძენილი სახელმწიფო ფასიანი ქაღალდების შესყიდვის ფასის ეკვივალენტი თანხის გადახდა მყიდველის მიერ;“.

2. მე-7 მუხლის:

ა) მე-5 პუნქტი ჩამოყალიბდეს შემდეგი რედაქციით:

„5.პირველი მოკლე კუპონის მქონე სახაზინო ობლიგაციის შესყიდვის ფასის გაანგარიშება:

 

 

სადაც:

P – შესყიდვის ფასი;

F – სახაზინო ობლიგაციის ნომინალური ღირებულება;

i – აუქციონის მონაწილის მიერ შემოთავაზებული წლიური საპროცენტო განაკვეთი გაყოფილი 100-ზე;

            R- წლიური კუპონური შემოსავლის საპროცენტო განაკვეთი გაყოფილი 100-ზე;

DFC – სახაზინო ობლიგაციის გამოშვების თარიღიდან  კუპონის მომდევნო გადახდის თარიღამდე დღეების რაოდენობა;

DSC - სახაზინო ობლიგაციის ანგარიშსწორებიდან კუპონის მომდევნო გადახდის თარიღამდე დღეების რაოდენობა;

            n – კუპონის გადახდის რაოდენობა წლის განმავლობაში;

E – მოკლე კუპონის სრული ჰიპოთეტური პერიოდის დაწყების თარიღიდან კუპონის პირველ გადახდის თარიღამდე დღეების რაოდენობა. ჰიპოთეტური პერიოდის დაწყების თარიღი გაინგარიშება კუპონის პირველი გადახდის თარიღისა და კუპონის სრულ პერიოდში არსებული დღეების რაოდენობის სხვაობით;

N – დარჩენილი, ჯერ კიდევ გადაუხდელი კუპონების რაოდენობა სახაზინო ობლიგაციის დაფარვამდე.“;

 

ბ) მე-7 პუნქტის შემდეგ დაემატოს შემდეგი შინაარსის მე-8 პუნქტი:

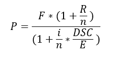
„8. სახაზინო ობლიგაციის შესყიდვის ფასი, რომლისთვისაც დარჩენილია, ჯერ კიდევ გადაუხდელია ერთი კუპონი,  გაიანგარიშება შემდეგნაირად:

 

სადაც:

 

P – შესყიდვის ფასი;

F – სახაზინო ობლიგაციის ნომინალური ღირებულება;

i – აუქციონის მონაწილის მიერ შემოთავაზებული წლიური საპროცენტო განაკვეთი გაყოფილი 100-ზე;

            R- წლიური კუპონური შემოსავლის საპროცენტო განაკვეთი გაყოფილი 100-ზე;

DSC – სახაზინო ობლიგაციის ანგარიშსწორებიდან  კუპონის მომდევნო გადახდის თარიღამდე დღეების რაოდენობა;

            n – კუპონის გადახდის რაოდენობა წლის განმავლობაში;

            E – დღეების რაოდენობა  კუპონის მომდევნო და წინა გადახდის თარიღებს შორის.“.

 

მუხლი 2
ეს ბრძანება ამოქმედდეს გამოქვეყნებისთანავე.

საქართველოს ეროვნული ბანკის პირველი ვიცე-პრეზიდენტი/ საქართველოს ეროვნული ბანკის პრეზიდენტის მოვალეობის შემსრულებელინათელა თურნავა
საქართველოს ფინანსთა მინისტრილაშა ხუციშვილი