„საქართველოს ფინანსთა სამინისტროს მიერ სახაზინო ვალდებულებების და სახაზინო ობლიგაციების გამოშვების, მიმოქცევის, აღრიცხვისა და დაფარვის შესახებ დებულების დამტკიცების თაობაზე“ საქართველოს ეროვნული ბანკის პრეზიდენტისა და საქართველოს ფინანსთა მინისტრის 2010 წლის 1 თებერვლის N10/01–N51 ერთობლივ ბრძანებაში ცვლილების შეტანის შესახებ

„საქართველოს ფინანსთა სამინისტროს მიერ სახაზინო ვალდებულებების და სახაზინო ობლიგაციების გამოშვების, მიმოქცევის, აღრიცხვისა და დაფარვის შესახებ დებულების დამტკიცების თაობაზე“ საქართველოს ეროვნული ბანკის პრეზიდენტისა და საქართველოს ფინანსთა მინისტრის 2010 წლის 1 თებერვლის N10/01–N51 ერთობლივ ბრძანებაში ცვლილების შეტანის შესახებ
დოკუმენტის ნომერი 177/04
დოკუმენტის მიმღები საქართველოს ეროვნული ბანკის პრეზიდენტი
მიღების თარიღი 06/10/2020
დოკუმენტის ტიპი საქართველოს ეროვნული ბანკის პრეზიდენტის ბრძანება
გამოქვეყნების წყარო, თარიღი ვებგვერდი, 07/10/2020
სარეგისტრაციო კოდი 220090000.18.011.016506
177/04
06/10/2020
ვებგვერდი, 07/10/2020
220090000.18.011.016506
„საქართველოს ფინანსთა სამინისტროს მიერ სახაზინო ვალდებულებების და სახაზინო ობლიგაციების გამოშვების, მიმოქცევის, აღრიცხვისა და დაფარვის შესახებ დებულების დამტკიცების თაობაზე“ საქართველოს ეროვნული ბანკის პრეზიდენტისა და საქართველოს ფინანსთა მინისტრის 2010 წლის 1 თებერვლის N10/01–N51 ერთობლივ ბრძანებაში ცვლილების შეტანის შესახებ
საქართველოს ეროვნული ბანკის პრეზიდენტი
„საქართველოს ფინანსთა სამინისტროს მიერ სახაზინო ვალდებულებების და სახაზინო ობლიგაციების გამოშვების, მიმოქცევის, აღრიცხვისა და დაფარვის შესახებ დებულების დამტკიცების თაობაზე“ საქართველოს ეროვნული ბანკის პრეზიდენტისა და საქართველოს ფინანსთა მინისტრის 2010 წლის 1 თებერვლის N10/01–N51 ერთობლივ ბრძანებაში ცვლილების შეტანის შესახებ
 

საქართველოს ეროვნული ბანკის პრეზიდენტისა და საქართველოს ფინანსთა მინისტრის

ერთობლივი ბრძანება  №177/04–№247

2020 წლის 6 ოქტომბერი

ქ. თბილისი

 

„საქართველოს ფინანსთა სამინისტროს მიერ სახაზინო ვალდებულებების და სახაზინო ობლიგაციების გამოშვების, მიმოქცევის, აღრიცხვისა და დაფარვის შესახებ დებულების დამტკიცების თაობაზე“ საქართველოს ეროვნული ბანკის პრეზიდენტისა და საქართველოს ფინანსთა მინისტრის 2010 წლის 1 თებერვლის  10/01– 51 ერთობლივ ბრძანებაში ცვლილების შეტანის შესახებ

„ნორმატიული აქტების შესახებ“ საქართველოს ორგანული კანონის მე-20 მუხლის მე-4 პუნქტის შესაბამისად, ვბრძანებთ:

 


მუხლი 1
„საქართველოს ფინანსთა სამინისტროს მიერ სახაზინო ვალდებულებების და სახაზინო ობლიგაციების გამოშვების, მიმოქცევის, აღრიცხვისა და დაფარვის შესახებ დებულების დამტკიცების თაობაზე“ საქართველოს ეროვნული ბანკის პრეზიდენტისა და საქართველოს ფინანსთა მინისტრის 2010 წლის 1 თებერვლის №10/01-№51 ერთობლივ ბრძანებაში (სსმ. III, 03.02.2010, №13 მუხ.151) შეტანილ იქნეს შემდეგი ცვლილება და ბრძანებით დამტკიცებული დებულების:

1. პირველი მუხლის მე-5 პუნქტი ჩამოყალიბდეს შემდეგი რედაქციით:

„5. სახაზინო ობლიგაციების გამოშვება ხდება 1-დან 10 წლამდე დაფარვის ვადით, კუპონის (გარდა მოკლე კუპონისა) 6 თვეში ერთხელ გადახდით.“.

2. მე-2 მუხლის:

ა) „დ“ ქვეპუნქტი ჩამოყალიბდეს შემდეგი რედაქციით:

„დ) სახელმწიფო ფასიანი ქაღალდების პირველადი ბაზრის მონაწილეები – კომერციული ბანკები, პირველადი დილერები და მათი კლიენტები;“;

ბ) „ზ“ ქვეპუნქტი ჩამოყალიბდეს შემდეგი რედაქციით:

„ზ) ბანკის/პირველადი დილერის კლიენტები (შემდგომში „კლიენტები“) – რეზიდენტი და არარეზიდენტი ფიზიკური და იურიდიული პირები.“;

გ) „ლ“ ქვეპუნქტის შემდეგ დაემატოს შემდეგი შინაარსის „ლ1“ ქვეპუნქტი:

„ლ1) მოკლე კუპონი – კუპონი, რომელიც გადაიხდება სახაზინო ობლიგაციის გამოშვებიდან 6 თვეზე ნაკლები პერიოდის გასვლის შემდგომ;“;

დ) „ძ“ ქვეპუნქტი ჩამოყალიბდეს შემდეგი რედაქციით:

„ძ) სუბრეესტრი – რეესტრი, რომელსაც კომერციული ბანკი/პირველადი დილერი აწარმოებს საკუთარი კლიენტების ჭრილში;“;

ე) „ხ“ ქვეპუნქტის შემდეგ დაემატოს შემდეგი შინაარსის „ჯ“, „ჯ1“ „ჯ2“ „ჯ3“ და „ჰ“ ქვეპუნქტები:

„ჯ) პირველადი დილერების სისტემა  სისტემა, რომლის ფარგლებშიც ფინანსურ ინსტიტუტებს, საქართველოს ფინანსთა სამინისტროს მიერ, სახელმწიფო ფასიან ქაღალდებზე ემიტენტთან პირდაპირი ვაჭრობის უფლება აქვთ მინიჭებული;

1) პირველადი დილერების საპილოტე პროგრამა – პირველადი დილერების სისტემის საწყისი ეტაპი, რომელიც ვრცელდება სახელმწიფო ფასიან ქაღალდების ნაწილზე – შერჩეულ სახაზინო ობლიგაციებზე;

2) ფინანსური ინსტიტუტი – იურიდიული პირი, რომლის საქმიანობაა ფინანსური მომსახურების განხორციელება და რომელიც მოქმედებს კომერციული ბანკის, სადაზღვევო ორგანიზაციის, გადამზღვეველი კომპანიის, საინვესტიციო ბანკის, საფონდო ბირჟის, ცენტრალური დეპოზიტარის, საბროკერო კომპანიის, მიკროსაფინანსო ორგანიზაციის, საკრედიტო კავშირის, საინვესტიციო ფონდის, აქტივების მმართველი კომპანიის ან საგადახდო მომსახურების პროვაიდერის სახით;

3) პირველადი დილერი – ფინანსთა სამინისტროს მიერ შერჩეული პირველადი დილერების საპილოტე პროგრამაში და შემდეგში პირველადი დილერების სისტემაში მონაწილე ფინანსური  ინსტიტუტი;

ჰ) შერჩეული სახაზინო ობლიგაცია (ბენჩმარკ ბონდი) – პირველადი დილერების საპილოტე პროგრამისა და შემდეგში პირველადი დილერების სისტემის ფარგლებში ფინანსთა სამინისტროს მიერ შერჩეული სახაზინო ობლიგაცია, რომლის პირველადი ბაზრის აუქციონში მონაწილეობის უფლება გააჩნიათ მხოლოდ პირველად დილერებს.“.

3. მე-3 მუხლის:

ა) 11 პუნქტი ჩამოყალიბდეს შემდეგი რედაქციით:

„11. სახელმწიფო ფასიანი ქაღალდების გამოსყიდვა ხდება აუქციონის მეშვეობით სახელმწიფო ფასიანი ქაღალდების მეორად ბაზარზე ან აუქციონის გარეშე, სახელმწიფო ფასიანი ქაღალდების გამოშვების პირობების შესაბამისად. სახელმწიფო ფასიანი ქაღალდების გამოსყიდვის ოპერაციებში მონაწილეობის უფლება გააჩნიათ მხოლოდ პირველად დილერებს. “;

ბ) მე-5 პუნქტი ჩამოყალიბდეს შემდეგი რედაქციით:

„5. გამოშვების აუქციონზე მონაწილეობის მიღება შეუძლიათ მხოლოდ კომერციულ ბანკებს, გარდა ამ მუხლის 51 პუნქტით გათვალისწინებული შემთხვევისა.“;

გ) მე-5 პუნქტის შემდეგ დაემატოს შემდეგი შინაარსის 51 და 52 პუნქტები:

„51. შერჩეული სახაზინო ობლიგაციების გამოშვების აუქციონში მონაწილეობის მიღება შეუძლიათ მხოლოდ პირველად დილერებს.    

52. ფინანსთა სამინისტრო და ეროვნული ბანკი უფლებამოსილნი არიან პირველად დილერებთან გააფორმონ ურთიერთგაგების მემორანდუმი, რომლითაც განისაზღვრება პირველადი დილერების საპილოტე პროგრამასა და შემდგომში პირველადი დილერების სისტემასთან დაკავშირებული საკითხები, მათ შორის პირველადი დილერების სტატუსის შეჩერების/შეწყვეტის წესი, მხარეთა უფლება-მოვალეობები და ინფორმაციის გაცვლისა და ანგარიშების წარდგენის საკითხები.“.

4. მე-5 მუხლის:

ა) 122 პუნქტი ჩამოყალიბდეს შემდეგი რედაქციით:

„122.გამოშვების აუქციონზე თითოეული ბანკის მიერ წარდგენილი ერთი კლიენტის განაცხადების ჯამური მოცულობა არ უნდა აღემატებოდეს გამოცხადებული ემისიის მოცულობის 75%-ს.“;

ბ) 123 პუნქტის შემდეგ დაემატოს შემდეგი შინაარსის 124 პუნქტი:

„124. ფინანსთა სამინისტროს უფლება აქვს კონკრეტული აუქციონისთვის შეცვალოს ამ მუხლის მე-12 და 122 პუნქტებით განსაზღვრული ლიმიტები. ფინანსთა სამინისტრომ აღნიშნული ცვლილების შესახებ შესაბამისი ინფორმაცია უნდა შეიტანოს, მე-4 მუხლის მე-4 პუნქტის შესაბამისად გაკეთებულ აუქციონის ჩატარების შესახებ შეტყობინებაში.“.

5. მე-5 მუხლის შემდეგ დაემატოს შემდეგი შინაარსის 51 მუხლი:

„მუხლი 51. პირველადი დილერების მიერ განაცხადების წარდგენის წესი

პირველადი დილერების მიერ განაცხადების წარდგენა ხორციელდება ამ დებულების მე-5 მუხლით დადგენილი წესით. ამასთან, პირველად დილერებს, რომელთაც აუქციონში დაუკმაყოფილდებათ კონკურენტული განაცხადი (განაცხადები), აუქციონის დასრულებიდან  მომდევნო სამუშაო დღის 13:00 საათამდე, თბილისის დროით, უფლება აქვთ გამოცხადებულ ემისიაზე დამატებით საკუთარი სახელით წარადგინონ 1 არაკონკურენტული განაცხადი, მაქსიმუმ დაკმაყოფილებული კონკურენტული განაცხადის (განაცხადების) 10% - ისა. ამგვარი განაცხადები დაკმაყოფილდება ავტომატურად საშუალო შეწონილი საპროცენტო განაკვეთით. “.

6. მე-6 მუხლის:

ა) მე-3 და მე-4 პუნქტები ჩამოყალიბდეს შემდეგი რედაქციით:

„3. არაკონკურენტული განაცხადების ჯამური თანხა, გარდა ამ დებულების 51 მუხლით განსაზღვრული განაცხადების თანხებისა, მაგრამ არაუმეტეს მთლიანი გამოცხადებული ემისიის/გამოსასყიდი ფასიანი ქაღალდების მოცულობის 25%–ისა, აკლდება ემისიის/გამოსასყიდ მოცულობას და დარჩენილი ნაწილით განისაზღვრება კონკურენტული განაცხადების აუქციონის მოცულობა.

4. იმ შემთხვევაში თუ მონაწილეების მიერ წარმოდგენილი არაკონკურენტული განაცხადების საერთო თანხა, გარდა ამ დებულების 51 მუხლით განსაზღვრული განაცხადების თანხებისა, გამოცხადებული ემისიის/გამოსასყიდი მოცულობის 25%–ზე მეტია, არაკონკურენტული განაცხადები დაკმაყოფილდება პროპორციული განაწილების პრინციპით.“;

ბ) მე-4 პუნქტის შემდეგ დაემატოს შემდეგი შინაარსის 41 პუნქტი:

„41. ამ დებულების 51 მუხლით განსაზღვრული განაცხადების დაკმაყოფილება ხორციელდება ფასიანი ქაღალდების წინასწარ გამოცხადებულ მოცულობაზე ამგვარი განაცხადების ჯამური მოცულობის დამატებით.“.

7. მე-7 მუხლს დაემატოს შემდეგი შინაარსის მე-5-მე-7 პუნქტები:

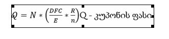
„5. პირველი მოკლე კუპონის მქონე სახაზინო ობლიგაციის ფასის გაანგარიშება:

სადაც:

P არის  შესყიდვის ფასი; F – სახაზინო ობლიგაციის ნომინალური ღირებულება;

i – აუქციონის მონაწილის მიერ შემოთავაზებული წლიური საპროცენტო განაკვეთი გაყოფილი 100-ზე;

R – წლიური კუპონური შემოსავლის საპროცენტო განაკვეთი გაყოფილი 100-ზე;

DFC – სახაზინო ობლიგაციის გამოშვების თარიღიდან  კუპონის მომდევნო გადახდის თარიღამდე დღეების რაოდენობა;

DSC – სახაზინო ობლიგაციის ანგარიშსწორებიდან  კუპონის მომდევნო გადახდის თარიღამდე დღეების რაოდენობა;

n – კუპონის გადახდის რაოდენობა წლის განმავლობაში;

E – მოკლე კუპონის სრული ჰიპოთეტური პერიოდის დაწყების თარიღიდან კუპონის პირველ გადახდის თარიღამდე დღეების რაოდენობა. ჰიპოთეტური პერიოდის დაწყების თარიღი გაინგარიშება კუპონის პირველი გადახდის თარიღისა და კუპონის სრულ პერიოდში არსებული დღეების რაოდენობის სხვაობით;

A – სახაზინო ობლიგაციის გამოშვების თარიღიდან ობლიგაციის ანგარიშსწორების თარიღამდე დღეების რაოდენობა;

N – დარჩენილი, ჯერ კიდევ გადაუხდელი კუპონების რაოდენობა სახაზინო ობლიგაციის დაფარვამდე.

6. თუ მოკლე კუპონის გადახდის თარიღი გასულია, სახაზინო ობლიგაციის ფასი დაითვლება ამ მუხლის მე-2 პუნქტით განსაზღვრული  ფორმულით.

7. ამ მუხლის მე-5 პუნქტით გათვალისწინებულ სახაზინო ობლიგაციაზე გადასახდელი მოკლე კუპონი გაიანგარიშება შემდეგნაირად:

R – წლიური კუპონური შემოსავლის საპროცენტო განაკვეთი გაყოფილი 100-ზე;

n – კუპონის გადახდის რაოდენობა წლის განმავლობაში;

DFC – სახაზინო ობლიგაციის გამოშვების თარიღიდან  კუპონის მომდევნო გადახდის თარიღამდე დღეების რაოდენობა;

E – მოკლე კუპონის სრული ჰიპოთეტური პერიოდის დაწყების თარიღიდან კუპონის პირველ გადახდის თარიღამდე დღეების რაოდენობა. ჰიპოთეტური პერიოდის დაწყების თარიღი გაინგარიშება კუპონის პირველი გადახდის თარიღისა და კუპონის სრულ პერიოდში არსებული დღეების რაოდენობის სხვაობით.“.

8. მე-8 მუხლის მე-6 და მე-7 პუნქტები ჩამოყალიბდეს შემდეგი რედაქციით:

„6. საქართველოში სახელმწიფო ფასიანი ქაღალდების ბაზარზე მოქმედი ბანკები და პირველადი დილერები ვალდებული არიან:

ა) აწარმოონ სახელმწიფო ფასიანი ქაღალდების მფლობელობის სუბრეესტრები კლიენტების ჭრილში.

ბ) სახელმწიფო ფასიანი ქაღალდების მფლობელებს მათი მოთხოვნის შემთხვევაში, ფასიანი ქაღალდების შესაბამისი ანგარიშები გაუხსნან სახელმწიფო ფასიანი ქაღალდების ანგარიშსწორების სისტემაში, ამავე სისტემის წესების შესაბამისად.

7. სუბრეესტრში უნდა აისახებოდეს ცალკეული სახელმწიფო ფასიანი ქაღალდების მიხედვით: სახელმწიფო ფასიანი ქაღალდების საერთაშორისო საიდენტიფიკაციო ნომერი, ფასიანი ქაღალდების რაოდენობა, მფლობელის ან ნომინალური მფლობელის ვინაობა, მისი ანგარიშის ნომერი. კლიენტის სახელზე შენახული სახელმწიფო ფასიანი ქაღალდების გასხვისებისას, დაგირავებისას, ნომინალურ მფლობელობაში გადაცემისას ან კლიენტის მიერ მომსახურე ბანკის შეცვლისას, ბანკი, პირველადი დილერი ვალდებულია სუბრეესტრში მოახდინოს სათანადო ჩანაწერები.“.

9. მე-9 მუხლის:

ა) მე-2-მე-3 პუნქტები ჩამოყალიბდეს შემდეგი რედაქციით:

„2. გამოშვების აუქციონის ანგარიშსწორების დღეს, არაუგვიანეს საოპერაციო საათის დასრულებამდე, ეროვნული ბანკის მიერ ოპერირებად საგადახდო და ფასიანი ქაღალდების ანგარიშსწორების სისტემების მეშვეობით ხდება აუქციონში გამარჯვებული ბანკების, პირველადი დილერების ანგარიშსწორების ანგარიშებიდან შესაბამისი თანხების ჩარიცხვა სახაზინო სამსახურის ხაზინის ანგარიშსწორების ანგარიშზე.

21. გამოსყიდვის აუქციონის ანგარიშსწორების დღეს, არა უგვიანეს საოპერაციო საათის დასრულებამდე, ეროვნული  ბანკის მიერ ოპერირებად საგადახდო და ფასიანი ქაღალდების ანგარიშსწორების სისტემების მეშვეობით ხდება გამოსყიდული ფასიანი ქაღალდების შესაბამისი თანხის ჩამოჭრა სახაზინო სამსახურის ხაზინის ანგარიშსწორების ანგარიშიდან და მათი ჩარიცხვა აუქციონში გამარჯვებული პირველადი დილერების ანგარიშსწორების ანგარიშებზე.

3. იმ შემთხვევაში, თუ ამ მუხლის მე–2 პუნქტით განსაზღვრული პირობის შესასრულებლად, საოპერაციო საათების დასრულებამდე, ბანკი, პირველადი დილერი ვერ უზრუნველყოფს აუქციონით დაკმაყოფილებული განაცხადების შესაბამისი თანხების მობილიზებას თავის ანგარიშსწორების ანგარიშზე, რაც აუცილებელია ანგარიშსწორების განსახორციელებლად, უქმდება ბანკის, პირველადი დილერის ყველა განაცხადი. “;

ბ) მე-5 პუნქტი ჩამოყალიბდეს შემდეგი რედაქციით:

„5. სახელმწიფო ფასიანი ქაღალდების დაფარვის დღეს, აგრეთვე სახაზინო ობლიგაციების კუპონის გადახდის დღეს, ეროვნული ბანკის მიერ ოპერირებადი საგადახდო და ფასიანი ქაღალდების ანგარიშსწორების სისტემის მეშვეობით, სახაზინო ვალდებულებების შესყიდვის ფასისა და დისკონტის შესაბამის თანხებს, აგრეთვე სახაზინო ობლიგაციების ნომინალის ღირებულებისა და კუპონის შესაბამის თანხებს ეროვნული ბანკი ჩამოჭრის სახაზინო სამსახურის ხაზინის ანგარიშსწორების ანგარიშიდან, რის შესახებაც აცნობებს სახაზინო სამსახურს. ეროვნული ბანკი ბანკების, პირველადი დილერების ანგარიშსწორების ანგარიშებზე შესაბამისი თანხების ჩარიცხვას განახორციელებს სახელმწიფო ფასიანი ქაღალდების რეესტრში არსებული ჩანაწერების მიხედვით.“;

გ) მე-8 პუნქტი ჩამოყალიბდეს შემდეგი რედაქციით:

„8. ბანკი, პირველადი დილერი ვალდებულია თანხის მიღებისთანავე, დაფარვის დღეს ჩაურიცხოს თანხები საკუთარ კლიენტებს.“.

10. მე-10 მუხლის მე-2-მე-4 პუნქტები ჩამოყალიბდეს შემდეგი რედაქციით:

„2. ბანკი, პირველადი დილერი პასუხისმგებელია როგორც თავის საკუთარ, ასევე მისი კლიენტების განაცხადებზე.

3. ბანკი, პირველადი დილერი ვალდებულია შეიმუშაოს და გამოაქვეყნოს თავისი კლიენტებისათვის სახაზინო ვალდებულებებითა და სახაზინო ობლიგაციებით ოპერაციების (ნებისმიერი ფორმით გასხვისება, დაგირავება, ნომინალურ მფლობელობაში გადაცემა) განხორციელების პროცედურები, მათ შორის, მომსახურების ტარიფები, განაცხადების ფორმები და სტანდარტული ხელშეკრულებები.

4. ბანკის, პირველადი დილერის მხრიდან ამ დებულების მოთხოვნათა დარღვევის შემთხვევაში, ეროვნული ბანკის გადაწყვეტილებით, ბანკს, პირველად დილერს შეიძლება გარკვეული ვადით აეკრძალოს აუქციონებში მონაწილეობის მიღება.“.

11. მე-11 მუხლი ჩამოყალიბდეს შემდეგი რედაქციით:

„მუხლი 11. აკრძალული ქმედებები და ბანკების, პირველადი დილერების ვალდებულებები

1. ბანკს, პირველად დილერს ეკრძალება ისეთი გარიგებები და ქმედებები, რომელთა შედეგადაც იგი დამოუკიდებლად ან სხვა პირებთან ერთად აღმოჩნდება დომინირებულ მდგომარეობაში ფულად, საფინანსო ან საკრედიტო ბაზარზე, აგრეთვე ყოველგვარი მანიპულაცია, რომელიც დაუმსახურებელ უპირატესობას მიანიჭებს მას ან მესამე პირებს, შექმნის საბანკო საქმიანობის კონკურენციის შეზღუდვის, საპროცენტო განაკვეთებისა და საკომისიო გასამრჯელოს ფიქსაციის შესაძლებლობას ან საშიშროებას.

2. ეროვნული ბანკის მიერ ჩატარებულ სახელმწიფო ფასიანი ქაღალდების აუქციონებში მონაწილეობისას და ამ მონაწილეობასთან დაკავშირებით, ბანკებს, პირველად დილერებს ეკრძალებათ შემდეგი ქმედებების განხორციელება:

ა) ერთმანეთთან წინასწარ შეთანხმდნენ კონკრეტული აუქციონისთვის საკუთარი განაცხადების თაობაზე;

ბ) აუქციონის დამთავრებამდე ერთმანეთს აცნობონ ინფორმაცია საკუთარი განაცხადების შესახებ;

გ) კონკურენტი ბანკების, პირველადი დილერების ინსაიდერული ინფორმაციის ან მათგან მიღებული სხვა ინფორმაციის გამოყენებით განახორციელონ ისეთი ქმედებები, რომელიც აუქციონზე მათ ჩააყენებს დაუმსახურებელ უპირატეს მდგომარეობაში სხვა მონაწილეებთან და/ან მესამე პირებთან შედარებით;

დ) აუქციონზე გააკეთონ განაცხადები ერთმანეთის ნაცვლად და/ან ერთმანეთის სასარგებლოდ;

ე) თავიანთი კლიენტების განაცხადების ინფორმაცია გამოიყენონ აუქციონზე ბანკის, პირველადი დილერის საკუთარი განაცხადის გაკეთების პროცესში. ბანკმა, პირველადმა დილერმა შიდა პროცედურებით უნდა უზრუნველყოს თავისი კლიენტების განაცხადების დამუშავება ისე, რომ ეს ინფორმაცია არ იქნეს გამოყენებული ბანკის, პირველადი დილერის მიერ აუქციონზე საკუთარი სახელით სახელმწიფო ფასიანი ქაღალდების ყიდვაზე გადაწყვეტილებების მიღებისას.

3. ბანკებს, პირველად დილერებს ეკრძალებათ წინასწარი შეთანხმების საფუძველზე ჩაერთონ მეორად ბაზარზე ისეთ სავაჭრო გარიგებებში, რომლებიც მიმართულია სახელმწიფო ფასიანი ქაღალდების ფასებისა და საპროცენტო განაკვეთების მანიპულირებისაკენ.

4. ეროვნული ბანკის მიერ ამ მუხლით გათვალისწინებული ქმედებების აღმოჩენის ან საფუძვლიანი ეჭვის არსებობის შემთხვევაში, ეროვნულ ბანკს უფლება აქვს დარღვევის სერიოზულობიდან გამომდინარე, თავის შეხედულებისამებრ ბანკი, პირველადი დილერი გარკვეული დროით აღარ დაუშვას სახელმწიფო ფასიანი ქაღალდების აუქციონებზე.“.

მუხლი 2
ეს ბრძანება ამოქმედდეს გამოქვეყნებისთანავე.

ეროვნული ბანკის პრეზიდენტიკობა გვენეტაძე
საქართველოს ფინანსთა მინისტრიივანე მაჭავარიანი