დოკუმენტის სტრუქტურა
განმარტებების დათვალიერება
დაკავშირებული დოკუმენტები
დოკუმენტის მონიშვნები
კონსოლიდირებული პუბლიკაციები
| „ელექტროენერგიის ნორმატიული დანაკარგების გაანგარიშების წესის“ დამტკიცების შესახებ | |
|---|---|
| დოკუმენტის ნომერი | 15 |
| დოკუმენტის მიმღები | საქართველოს ენერგეტიკისა და წყალმომარაგების მარეგულირებელი ეროვნული კომისია |
| მიღების თარიღი | 30/07/2014 |
| დოკუმენტის ტიპი | საქართველოს ენერგეტიკისა და წყალმომარაგების მარეგულირებელი ეროვნული კომისიის დადგენილება |
| გამოქვეყნების წყარო, თარიღი | ვებგვერდი, 04/08/2014 |
| ძალის დაკარგვის თარიღი | 16/06/2021 |
| სარეგისტრაციო კოდი | 300320000.16.009.016090 |
| კონსოლიდირებული პუბლიკაციები | |
პირველადი სახე (04/08/2014 - 07/11/2017)
|
„ელექტროენერგეტიკისა და ბუნებრივი გაზის შესახებ“ საქართველოს კანონის მე–5 მუხლის პირველი პუნქტის საფუძველზე, საქართველოს ენერგეტიკისა და წყალმომარაგების მარეგულირებელი ეროვნული კომისია ადგენს: |
| მუხლი 1 |
დამტკიცდეს თანდართული „ელექტროენერგიის ნორმატიული დანაკარგების გაანგარიშების წესი“. |
| მუხლი 2 |
დადგენილება ძალაშია გამოქვეყნებისთანავე. |
|
ელექტროენერგიის ნორმატიული დანაკარგების გაანგარიშების წესი
|
მუხლი 1.
წესის მიზანი და ამოცანები |
1. ელექტროენერგიის ნორმატიული დანაკარგების გაანგარიშების წესი (შემდგომში – წესი) ადგენს გადაცემისა და განაწილების ლიცენზიატების (შემდგომში – ლიცენზიატები) ელექტრულ ქსელებში ელექტრული ენერგიის დანაკარგების ნორმატიული მნიშვნელობების გაანგარიშების პრინციპებსა და წესს. 2. ამ წესით გაანგარიშებული ელექტროენერგიის ნორმატიული დანაკარგები მტკიცდება საქართველოს ენერგეტიკისა და წყალმომარაგების მარეგულირებელი ეროვნული კომისიის (შემდგომში – კომისია) დადგენილებით, გადაცემისა და განაწილების ლიცენზიატებისთვის ცალ-ცალკე. 3. ამ წესში გამოყენებულ ტერმინებს აქვთ იგივე მნიშვნელობა, რაც „ელექტროენერგეტიკისა და ბუნებრივი გაზის შესახებ” საქართველოს კანონში, ასევე საქართველოს ენერგეტიკის მინისტრის ბრძანებით დამტკიცებულ „ელექტროენერგიის (სიმძლავრის) ბაზრის წესებსა“ და კომისიის მიერ დამტკიცებულ ტარიფების მეთოდოლოგიაში. |
მუხლი 2.
ელექტროენერგიის ნორმატიული დანაკარგები |
1. ელექტროენერგიის ნორმატიული დანაკარგი წარმოადგენს ელექტროენერგიის დასაშვებ დანახარჯს, რომელიც წარმოიშობა გადამცემი და გამანაწილებელი ქსელით ელექტროენერგიის ტრანსპორტირებისას და იანგარიშება ამ წესის მე-3 მუხლის შესაბამისად. 2. გადაცემის და განაწილების ლიცენზიატების მიერ ელექტროენერგიის ნორმატიული დანაკარგების კომპენსაციისთვის გაწეული ხარჯების ანაზღაურება ხდება მოქმედი კანონმდებლობით. 3. ელექტროენერგიის ნორმატიული დანაკარგები შედგება ელექტროენერგიის ტექნიკური დანაკარგებისაგან, ქვესადგურების მუშაობის უზრუნველსაყოფად ელექტროენერგიის ხარჯისაგან საკუთარ მოხმარებაზე და ელექტროენერგიის კომერციული დანაკარგებისაგან (დადგენილი ნორმატივის არა უმეტეს 5%–ისა). 4. ელექტროენერგიის ტექნიკური დანაკარგები წარმოადგენს ელექტრული ქსელით ელექტროენერგიის ტრანსპორტირების პროცესის აუცილებელი თანმხლები ფიზიკური პროცესებით განპირობებულ ელექტროენერგიის დანაკარგს ელექტრული ქსელის გამტარებსა და მოწყობილობებში. ტექნიკური დანაკარგები იყოფა ორ პირობით ჯგუფად: უქმი სვლისა და დატვირთვის დანაკარგებად. ა) უქმი სვლის დანაკარგები მოიცავს: ა.ა) დანაკარგებს ძალოვან ტრანსფორმატორებში; ა.ბ) დანაკარგებს რეაქტიული სიმძლავრის მაკომპენსირებელ მოწყობილობებში; ა.გ) დანაკარგებს ძაბვის მზომ ტრანსფორმატორებში და მაღალი სიხშირის კავშირგაბმულობის მოწყობილობებში; ა.დ) დანაკარგებს საკაბელო ხაზების იზოლაციაში; ა.ე) დანაკარგებს ელექტრულ გვირგვინზე; ა.ვ) დანაკარგებს, გამოწვეულს ელექტრული დენის გაჟონვით გადამცემი ხაზების იზოლატორების ზედაპირებზე. ბ) დატვირთვის დანაკარგები მოიცავს: ბ.ა) დანაკარგებს ელექტროგადამცემ საჰაერო და საკაბელო ხაზებში; ბ.ბ) დანაკარგებს ძალოვან და ვოლტდამმატ ტრანსფორმატორებში; ბ.გ) დანაკარგებს დენის და ძაბვის გამზომ ტრანსფორმატორებში; ბ.დ) დანაკარგებს მაღალი სიხშირის გადამღობებში; ბ.ე) დანაკარგებს დენშემზღუდ რეაქტორებში; ბ.ვ) დანაკარგებს გარდამსახ მოწყობილობებში. 5. საკუთარ მოხმარებაზე ელექტროენერგიის ხარჯი არის ქვესადგურების მუშაობის უზრუნველსაყოფად (ქვესადგურების გამართული მუშაობისა და საექსპლუატაციო პერსონალის სამუშაო პირობების უზრუნველსაყოფად) საჭირო ელექტროენერგიის რაოდენობა, რომელიც გამოიყენება შემდეგი მიზნებისათვის: ა) ტრანსფორმატორების გაცივება; ბ) ქვესადგურის შენობების განათება, გათბობა, ვენტილაცია-კონდიცირება და საშხაპის ცხელი წყლით უზრუნველყოფა; გ) ქვესადგურის ტერიტორიის განათება; დ) აკუმულატორების დამუხტვა-განმუხტვის მოწყობილობების ფუნქციონირების უზრუნველყოფა; ე) ქვესადგურებზე ოპერატიული წრედებისა და მართვის წრედების კვება; ვ) ძაბვის კომპლექტური გამანაწილებელი მოწყობილობების უჯრედების (რელეური დაცვისა და ავტომატიკის მოწყობილობებით, მრიცხველებით ან ამომრთველებით) და გარე დაყენების სარელეო კარადების შეთბობა; ზ) ამომრთველების ავზებისა და ამძრავების შეთბობა; თ) გამყოფებსა და მოკლედჩამრთველების ამძრავების შეთბობა; ი) ტრანსფორმატორების დატვირთვის ქვეშ ძაბვის რეგულირების მოწყობილობების ამძრავებისა და ზეთიანი ავზების შეთბობა; კ) გამთიშველების ელექტროძრავიანი ამძრავების შეთბობა; ლ) გაუთბობელ შენობებში მრიცხველების შეთბობა; მ) სააგრეგატო კარადებისა და საჰაერო ამომრთველების მართვის კარადების შეთბობა; ნ) კომპრესორების კვება; ო) ჰაერშემკრებების შეთბობა; პ) ელექტროენერგიის დანახარჯი სინქრონულ კომპენსატორებსა და დამხმარე მოწყობილობებში; ჟ) კავშირგაბმულობისა და ტელემექანიკის აპარატურის ელექტროკვება; რ) ექსპლუატაციის პროცესში შესრულებული მცირე მოცულობის სარემონტო სამუშაოები; ს) ელექტროენერგიის დანახარჯი სხვადასხვა ტუმბოში, დისტილიატორში, მცირე ჩარხსა და მოწყობილობაში. 6. ელექტროენერგიის კომერციული დანაკარგები არის: ა) ელექტროენერგიის დანაკარგები, რომლებიც განპირობებულია ელექტროენერგიის აღრიცხვის სისტემაში შემავალი აღრიცხვის კვანძების ელემენტების (დენისა და ძაბვის ტრანსფორმატორების, მრიცხველების და სხვ.) ტექნიკური მახასიათებლებით და მუშაობის რეჟიმებით; ბ) ელექტროენერგიის დანაკარგები, გამოწვეული ელექტროენერგიის აღრიცხვის პროცესის არასათანადო ორგანიზების შედეგად. |
მუხლი 3.
ელექტროენერგიის ნორმატიული დანაკარგების დადგენის წესი |
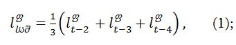
1. ელექტროენერგიის ნორმატიული დანაკარგების დადგენისათვის გამოიყენება საერთაშორისო პრაქტიკაში მიღებული წამახალისებელი რეგულირების პრინციპები, რომლებიც: ა) ემყარება გადაცემის ან განაწილების კონკრეტული ლიცენზიატის ელექტრულ ქსელში რეგულირების პერიოდში ელექტროენერგიის ფაქტობრივი დანახარჯების ასახვას მომდევნო რეგულირების პერიოდის ელექტროენერგიის ნორმატიულ დანაკარგებში; ბ) ლიცენზიატს აძლევს ელექტროენერგიის ფაქტობრივი დანახარჯის შემცირების მოტივაციას. 2. ელექტროენერგიის ნორმატიული დანაკარგის დადგენა ხდება ყოველი რეგულირების პერიოდისათვის, რომელიც გადაცემისა და განაწილების თითოეული ლიცენზიატისათვის განისაზღვრება კომისიის მიერ ინდივიდუალურად. შესაბამისად, ელექტროენერგიის ნორმატიული დანაკარგის დადგენა ხდება რეგულირების პერიოდის დაწყების წინა წელს – ტარიფების გაანგარიშების წელს (t). რეგულირების პერიოდისათვის ნორმატიული დანაკარგი დგინდება სატესტო წლის (t-1) ბაზაზე, შემდეგი წესით:
ა) განისაზღვრება სატესტო წლის (t-1) წინა სამი წლის ელექტროენერგიის ფაქტობრივი დანახარჯის პროცენტული მაჩვენებლების
ბ) განისაზღვრება სატესტო წლის (t-1) წინა სამი წლის ელექტროენერგიის ფაქტობრივი დანახარჯის პროცენტული მაჩვენებლების
გ) განისაზღვრება სატესტო წლის (t-1)-ის ელექტროენერგიის ფაქტობრივი დანახარჯის პროცენტული მაჩვენებლების მოსალოდნელი შედეგი
დ) სატესტო წლის (t-1) ელექტროენერგიის ფაქტობრივი დანახარჯის მოსალოდნელი შედეგი
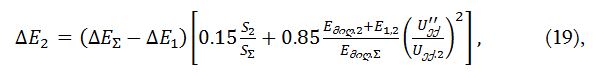
3. იმ შემთხვევაში, თუ სატესტო წლის (t-1) წინა სამი წლის
ა) სატესტო წლის ელექტროენერგიის ფაქტობრივი დანახარჯის მოსალოდნელი შედეგი
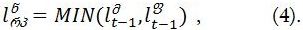
ბ) ელექტროენერგიის ტექნიკური დანაკარგები და საკუთარი მოხმარება გ) რეგულირების პერიოდის ელექტროენერგიის ნორმატიულ დანაკარგად აიღება "ა" ქვეპუნქტის შესაბამისად განსაზღვრულ სატესტო წლის ელექტროენერგიის ფაქტობრივი დანახარჯის მოსალოდნელ შედეგსა და ელექტროენერგიის ტექნიკური დანაკარგების "ბ" ქვეპუნქტის შესაბამისად გაანგარიშებულ და 5%–ით გაზრდილ სიდიდეს შორის უმცირესი მაჩვენებელი:
|
მუხლი 4.
ელექტროენერგიის ფაქტობრივი დანახარჯები |
1. ელექტროენერგიის ფაქტობრივი დანახარჯები წარმოადგენს ელექტროენერგიის ფაქტობრივი დანაკარგებისა და საკუთარ მოხმარებაზე ელექტროენერგიის ხარჯის ჯამს. ელექტროენერგიის ფაქტობრივი დანაკარგები იანგარიშება, როგორც სხვაობა გადამცემ ან გამანაწილებელ ქსელში მიღებული და გაცემული (რომელშიც არ შედის საკუთარ მოხმარებაზე ელექტროენერგიის ხარჯი) ელექტროენერგიის რაოდენობებს შორის, რომელიც გამოითვლება აღრიცხვის ხელსაწყოების ჩვენების მიხედვით. 2. ელექტროენერგიის ფაქტობრივი დანაკარგები მოიცავს ელექტროენერგიის ტექნიკურ და კომერციულ დანაკარგებს. 3. გადამცემ და გამანაწილებელ ქსელში ელექტროენერგიის ფაქტობრივი დანაკარგები გამოითვლება აღრიცხვის ხელსაწყოების ჩვენების მიხედვით, ჯამურად და ძაბვის საფეხურების მიხედვით. 4. გამონაკლის შემთხვევაში, როდესაც აღრიცხვის სისტემა სრულად არ არის მოწესრიგებული და ცნობილია მხოლოდ ქსელში ელექტროენერგიის ჯამური ფაქტობრივი დანაკარგი, ელექტროენერგიის დანაკარგების მიკუთვნება (ალოკაცია) ძაბვის სხვადასხვა საფეხურისათვის მოხდება ამ წესების მე–6 მუხლით დადგენილი პრინციპების შესაბამისად. |
მუხლი 5.
ელექტროენერგიის ფაქტობრივი დანახარჯების განსაზღვრის პრინციპები |
1. ელექტროენერგიის ფაქტობრივი დანახარჯების გაანგარიშებისას ლიცენზიატმა უნდა გამოიყენოს ამ მუხლში მოყვანილი სიდიდეები და მათი გაანგარიშების ფორმულები. 2. გადაცემის ან განაწილების ლიცენზიატის მიერ გადამცემ ან გამანაწილებელ ქსელში მიღებული ელექტროენერგიის ჯამური რაოდენობა შეადგენს გადამცემი ან გამანაწილებელი ქსელის ძაბვის თითოეულ საფეხურზე მიღებული ელექტროენერგიის რაოდენობების ჯამს და იანგარიშება შემდეგი ფორმულით:
სადაც:
3. გადაცემის ან განაწილების ლიცენზიატის მიერ გადამცემი ან გამანაწილებელი ქსელიდან გაცემული და დარიცხული (აღრიცხვის ხელსაწყოების გაუმართაობის შემთხვევაში მოქმედი კანონმდებლობის შესაბამისად დარიცხული ელექტროენერგია) ელექტროენერგიის ჯამური რაოდენობა შეადგენს გადამცემი ან გამანაწილებელი ქსელის ძაბვის თითოეული საფეხურიდან გაცემული და დარიცხული ელექტროენერგიის რაოდენობების ჯამს და იანგარიშება შემდეგი ფორმულით:
სადაც:
4. გადაცემის ან განაწილების ლიცენზიატის გადამცემ ან გამანაწილებელ ქსელში ელექტროენერგიის ჯამური ფაქტობრივი დანაკარგები იანგარიშება შემდეგი ფორმულით:
სადაც,
5. ელექტროენერგიის ჯამური საკუთარი მოხმარება გადაცემის ან განაწილების ლიცენზიატის ქვესადგურებში წარმოადგენს გადაცემის ან განაწილების ლიცენზიატის ქსელის ძაბვის თითოეულ საფეხურზე საკუთარი მოხმარებების ჯამს და იანგარიშება შედეგი ფორმულით:
სადაც:
6. გადაცემის ან განაწილების ლიცენზიატის გადამცემ ან გამანაწილებელ ქსელში ელექტროენერგიის ჯამური ფაქტობრივი დანახარჯები მოიცავს გადამცემ ან გამანაწილებელ ქსელში ელექტროენერგიის ჯამურ ფაქტობრივ დანაკარგებსა და ელექტროენერგიის ჯამურ საკუთარ მოხმარებას გადაცემის ან განაწილების ლიცენზიატის ქვესადგურებში და იანგარიშება შემდეგი ფორმულით:
7. ელექტროენერგიის სრული ფაქტობრივი დანახარჯის პროცენტული მაჩვენებელი
8. ელექტროენერგიის სრული ფაქტობრივი დანახარჯის ჯამური პროცენტული მაჩვენებელი
9. იმ შემთხვევაში, თუ გამანაწილებელი ქსელიდან ელექტროენერგიის გაცემა ხდება გადამცემ ქსელშიც:
ა) შესაბამის გამანაწილებელ ქსელში ელექტროენერგიის ფაქტობრივი დანახარჯების გაანგარიშების მიზნით ქსელში მიღებული ელექტროენერგიის რაოდენობას აკლდება გადამცემ ქსელში გაცემული ელექტროენერგიის რაოდენობა
ბ) გამანაწილებელ ქსელში ფაქტობრივი დანახარჯის პროცენტული მაჩვენებლის განსაზღვრა ხდება ამ მუხლის მე-6 პუნქტის შესაბამისად გამოთვლილი ელექტროენერგიის ჯამური ფაქტობრივი დანახარჯების გაყოფით ამ პუნქტის “ა” ქვეპუნქტის შესაბამისად განსაზღვრულ გამანაწილებელ ქსელში მიღებულ ელექტროენერგიაზე
10. იმ შემთხვევაში, თუ ელექტროენერგიის გადამცემი ქსელის საშუალებით ხორციელდება ელექტროენერგიის ტრანზიტი, ქსელის მფლობელი გადაცემის ლიცენზიატი ვალდებულია: ა) ელექტროენერგიის დანახარჯების შესახებ ანგარიშში განცალკევებულად წარმოადგინოს ინფორმაცია ტრანზიტის მარშრუტის, რაოდენობისა და ტრანზიტით გამოწვეული დანაკარგების შესახებ; ბ) ტრანზიტით გამოწვეული ელექტროენერგიის დანახარჯები არ აისახება კონკრეტული გადაცემის ლიცენზიატისთვის დადგენილ ნორმატიულ დანაკარგებში. |
მუხლი 6.
ელექტროენერგიის ფაქტობრივი დანახარჯებისა და დანაკარგების ალოკაციის პრინციპები |
1. ძაბვის საფეხურების მიხედვით ელექტროენერგიის ტექნოლოგიური დანახარჯის ალოკაცია (განაწილება) უნდა ემყარებოდეს აღრიცხვის სისტემის მონაცემებს. 2. იმ შემთხვევაში, როდესაც აღრიცხვის სისტემა სრულად არ არის მოწესრიგებული და ცნობილია მხოლოდ ქსელში ჯამური ფაქტობრივი დანაკარგი, ელექტროენერგიის დანაკარგების მიკუთვნება (ალოკაცია) უნდა მოხდეს ძაბვის სხვადასხვა საფეხურზე შემდეგი პრინციპების დაცვით: ა) ჯამური ფაქტობრივი დანაკარგი მოიცავს ორ გამსხვილებულ ემპირიულ კომპონენტს: ა.ა) უქმი სვლის დანაკარგებს ტრანსფორმატორებში, რომლებიც ექსპერტული შეფასებით აიღება 15%–ის ფარგლებში; ა.ბ) დატვირთვის დანაკარგებს საჰაერო და საკაბელო ხაზებში, რომლებიც ექსპერტული შეფასებით აიღება 85%–ის ფარგლებში; ა.გ) ძაბვის i-ურ საფეხურზე უქმი სვლის დანაკარგები ნაწილდება მოცემულ საფეხურზე ტრანსფორმატორების სიმძლავრის პირდაპირპროპორციულად, ხოლო დატვირთვის დანაკარგები – მოცემულ საფეხურზე მიღებული ენერგიის პირდაპირპროპორციულად და საფეხურის ეკვივალენტური ძაბვის ფარდობითი მაჩვენებლის კვადრატის უკუპროპორციულად. ბ) ძაბვის პირველი (ზედა) საფეხურის ქსელში ელექტროენერგიის დანაკარგები განისაზღვრება როგორც ჯამური დანაკარგის ნაწილი და იანგარიშება ფორმულით (კვტ.სთ):
სადაც:
(კვტ.სთ);
ელექტროენერგიის მიღებისას. მაგალითად:
გ) პირველი საფეხურიდან მეორე (შემდეგ) საფეხურის ქსელში გაცემული ელექტროენერგიის რაოდენობა ტოლი იქნება (კვტ.სთ):
სადაც:
დ) ძაბვის მეორე საფეხურზე ქსელში მიღებული ენერგია ტოლი იქნება სხვა ქსელიდან ამ საფეხურზე მიღებულ ენერგიის მეორე საფეხურის ქსელში დანაკარგი ტოლი იქნება (კვტ.სთ):
სადაც:
ე) დანაკარგები შემდგომ საფეხურებზე გამოითვლება ამ პუნქტის „გ“ და „დ“ ქვეპუნქტებში მოცემული გამოსახულებების ანალოგიითა და ლოგიკით. ვ) ძაბვის ბოლო საფეხურის ქსელში ელექტროენერგიის დანაკარგი ტოლი იქნება:
3. ამ მუხლის გამოყენება შესაძლებელია მხოლოდ ელექტროენერგიის გამანაწილებელ ქსელებში (110; 35; 10; 6; 3,3; 0,4 კვ ძაბვის საფეხურებზე) ელექტროენერგიის ფაქტობრივი დანახარჯების ალოკაციისათვის (განაწილება-მიკუთვნებისათვის), კომისიასთან შეთანხმებით. |
მუხლი 7.
ნორმატიული დანაკარგების დამტკიცება და ანგარიშგება |
1. გადაცემის ან განაწილების ლიცენზიატებმა ელექტროენერგიის ფაქტობრივი ტექნოლოგიური დანახარჯების შესახებ ინფორმაცია კომისიაში უნდა წარმოადგინონ მოქმედი კანონმდებლობით დადგენილი პერიოდულობით.
2. თუ გადაცემის ან განაწილების ლიცენზიატის ელექტრულ ქსელებში მოკლევადიან პერიოდში გათვალისწინებული არ არის ქსელის სტრუქტურის ან/და დატვირთვების მნიშვნელოვანი ცვლილებები, მაშინ ლიცენზიატს ნორმატიული დანაკარგები უდგინდება რეგულირების პერიოდის ვადით. 3. თუ კონკრეტული რეგულირების პერიოდში გადაცემის ან განაწილების ლიცენზიატის ელექტრულ ქსელებში მოხდა ქსელის სტრუქტურის ან/და დატვირთვების ისეთი მნიშვნელოვანი ცვლილებები, რამაც გამოიწვია ლიცენზიატის ქსელში ფაქტობრივი დანაკარგების კომისიის მიერ დამტკიცებულ ნორმატიულ დანაკარგებთან მიმართებაში ±10%–ზე მეტი ცვლილება, მაშინ კომისია უფლებამოსილია ლიცენზიატის მიერ სათანადო დასაბუთებისა და ფაქტობრივი მონაცემების კომისიაში წარმოდგენის შედეგად მოახდინოს დანაკარგების ნორმატივის გადაანგარიშება. 4. ლიცენზიატის დასაბუთებული მოთხოვნის შემთხვევაში დასაშვებია დამტკიცებული ნორმატიული დანაკარგების სტრუქტურის კორექტირება (ძაბვის საფეხურებს შორის გადანაწილება). |
უკან დაბრუნება
საშუალო არითმეტიკული
შემდეგი ფორმულით:
საშუალო წლიური ტრენდის (ცვლილების ტენდენცია) მაჩვენებელი
შემდეგი ფორმულით:
საშუალო წლიური ტრენდის მაჩვენებლის მიხედვით:
–ის ტრენდი (ელექტროენერგიის ფაქტობრივი დანახარჯის ცვლილების ტენდენცია) აღმავალია ან ტრენდის საშუალო მაჩვენებელი ნულის ტოლია, ან ქსელურ კომპანიას არ აქვს საქმიანობის წინა სამი წლის ისტორია, ან ქსელის სტრუქტურა ან/და დატვირთვები მნიშვნელოვნად შეიცვალა, მომავალი რეგულირების პერიოდის ელექტროენერგიის ნორმატიული დანაკარგის განსაზღვრისათვის გამოიყენება შემდეგი წესი:
– გადაცემის ან განაწილების ლიცენზიატის მიერ გადამცემ ან გამანაწილებელ ქსელში მიღებული ელექტროენერგიის ჯამური რაოდენობა (კვტ.სთ);
– გადაცემის ან განაწილების ლიცენზიატის მიერ გადამცემი ან გამანაწილებელი ქსელის i-ურ ძაბვის საფეხურზე (500, 400, 330, 220, 110, 35, 10, 6, 3,3 და 0,4 კვ) მიღებული ელექტროენერგიის სრული რაოდენობა (კვტ.სთ).
– ელექტროენერგიის საკუთარი მოხმარება გადაცემის ან განაწილების ლიცენზიატის ქსელის i-ური ძაბვის საფეხურის (500, 220, 110, 35, 10 და 6 კვ) ქვესადგურებში (კვტ.სთ).
დგინდება ფორმულით:
– ელექტროენერგიის ჯამური ფაქტობრივი დანაკარგები, (კვტ.სთ);
დოკუმენტის კომენტარები